Spatiotemporal Variation in Water Quality and Eutrophication Status of Dianchi Lake

SHEN Chun-ying, ZUO Qian, CHENG Guai-mei, HE Shi-hua

Journal of Changjiang River Scientific Research Institute ›› 2025, Vol. 42 ›› Issue (9) : 58-66.

PDF(7034 KB)
PDF(7034 KB)
Journal of Changjiang River Scientific Research Institute ›› 2025, Vol. 42 ›› Issue (9) : 58-66. DOI: 10.11988/ckyyb.20240741
Water Environment And Water Ecology

Spatiotemporal Variation in Water Quality and Eutrophication Status of Dianchi Lake

Author information +
History +

Abstract

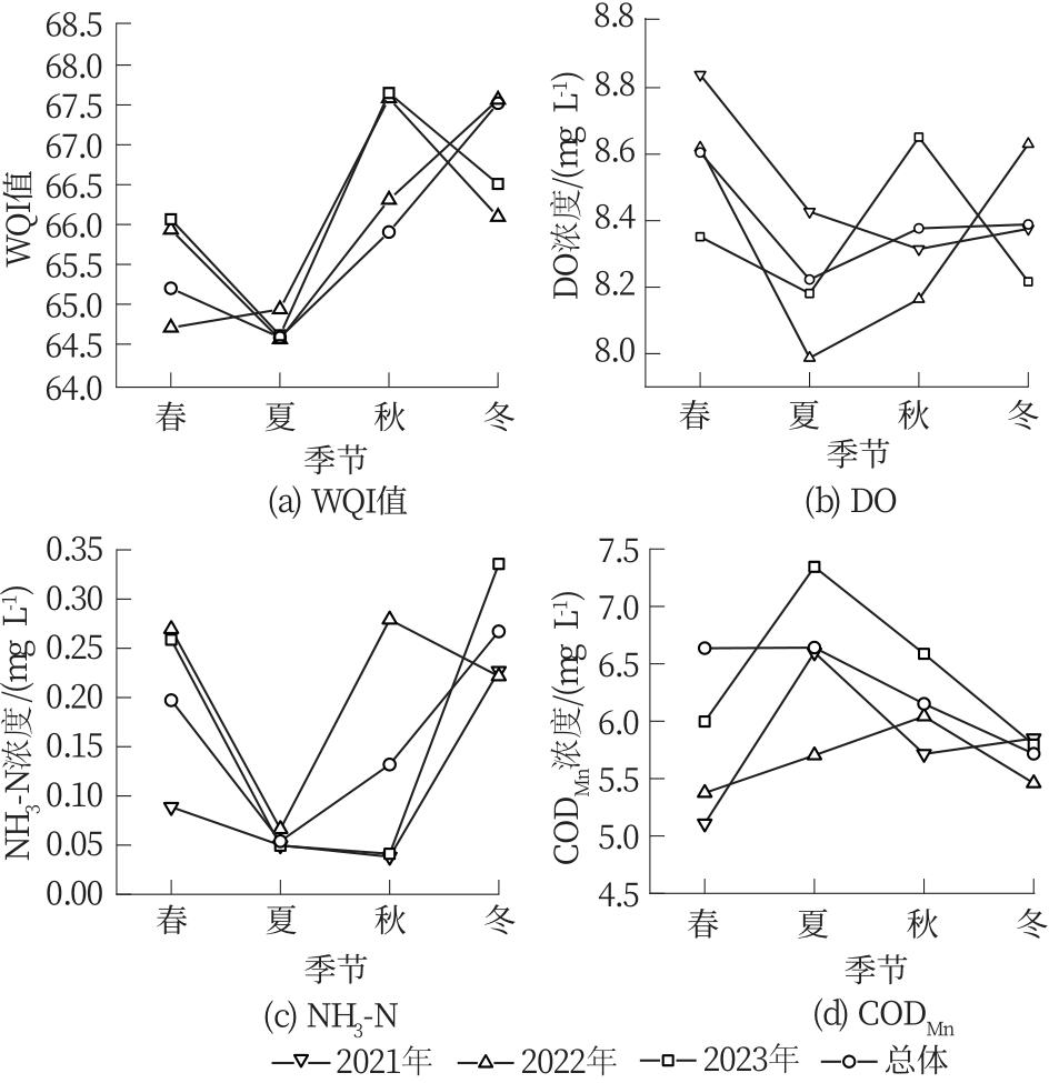
[Objective] Dianchi Lake, an important freshwater lake in Southwest China, has experienced increasing water quality degradation and eutrophication in recent years due to urbanization and agricultural activities. Most existing studies primarily focus on interannual variations, with limited understanding of seasonal variation and spatial heterogeneity. This study aims to: (1) reveal the spatiotemporal distribution patterns of water quality in Dianchi Lake using the Water Quality Index (WQI) method; (2) evaluate eutrophication dynamics using a logarithmic power-function universal index; and (3) identify key driving factors to provide scientific support for targeted remediation strategies. [Methods] Using daily water quality data from 2021 to 2023 at ten nationally controlled monitoring stations in Dianchi Lake, the WQI—incorporating six indicators (TP, TN, CODMn, NH3-N, DO, and turbidity)—was employed to classify water quality levels. Eutrophication Index (EI) calculated using the logarithmic power function model including Chl-a, TN, TP, and CODMn, was applied to evaluate eutrophication levels. Spatial patterns were depicted using Kriging interpolation in ArcGIS, and correlation analysis was conducted to identify the major influencing factors. [Results] 1) Spatiotemporal characteristics of WQI: (a) regarding temporal variations, the mean WQI was 65.03 (ranging from 31.33 to 82.67), with “moderate” water quality prevailing. Water quality was poorest in summer (only 16% rated “good”), primarily due to high temperatures accelerating organic decomposition, leading to decreased DO (8.40 mg/L) and increased CODMn (6.29 mg/L). Water quality was best in winter. (b) In terms of spatial variations, the average WQI in Caohai (68.96) was significantly higher than that in the Waihai (64.01), attributed to nutrient absorption by wetland vegetation. Severe pollution accumulation was observed in the central Waihai (e.g., Guanyinshan monitoring station) due to limited water exchange. 2) Dynamics of EI: (a) for seasonal patterns, eutrophication was most severe in spring, with an average EI of 55.166, and 16.8% of the area reached a “moderate eutrophication” level, due to runoff inputs during the peak agricultural fertilization season. Summer exhibited the greatest variation in EI (38.102-87.603), accompanied by frequent algal blooms. (b) In light of spatial differentiation, EI values in Caohai were generally higher than those in Waihai,particularly at Duanqiao and the center of Caohai, where direct urban sewage discharge was significant. In northern Waihai, areas such as Luojiaying exhibited higher eutrophication levels due to intensive human activities. 3) Key driving factors: (a) WQI was strongly positively correlated with DO (+0.492), and negatively correlated with NH3-N (-0.485) and CODMn (-0.358), indicating that organic pollution primarily drove water quality variation. (b) EI was mainly influenced by TP (with a weight of 0.230) and Chl-a (0.326), suggesting that phosphorus control and algae management were crucial for mitigating eutrophication. [Conclusions] Dianchi Lake exhibits pronounced seasonal and spatial heterogeneity in both water quality and eutrophication. In summer, nonpoint source pollution should be strictly controlled, while in spring, agricultural fertilization should be limited. The ecological restoration experiences in Caohai could be extended to Waihai, and enhanced water circulation is needed in the deep-water central zone. This study innovatively integrates the WQI and EI models, establishing a replicable methodological framework for dynamic assessment of eutrophic lakes, and emphasizes the need for long-term monitoring data to refine management strategies.

Key words

water quality evaluation / spatiotemporal variation / eutrophication status / water quality index (WQI) / Dianchi Lake

Cite this article

Download Citations
SHEN Chun-ying , ZUO Qian , CHENG Guai-mei , et al. Spatiotemporal Variation in Water Quality and Eutrophication Status of Dianchi Lake[J]. Journal of Changjiang River Scientific Research Institute. 2025, 42(9): 58-66 https://doi.org/10.11988/ckyyb.20240741

References

[1]
程致远, 梁卓成, 林瑞芬, 等. 云南滇池现代沉积物210Pb法的CF模式年龄研究[J]. 地球化学, 1990, 19(4):327-332.
(CHENG Zhi-yuan, LIANG Zhuo-cheng, LIN Rui-fen, et al. A Geochronological Study of 210Pb Cf Model for the Recent Sediments of Dianchi Lake, Yunnan Province[J]. Geochimica, 1990, 19(4): 327-332. (in Chinese))
[2]
龚铭, 王百群, 赵方凯, 等. 滇池蓝藻水华时空变化特征及环境影响因素[J]. 水土保持研究, 2024, 31(4):419-429.
(GONG Ming, WANG Bai-qun, ZHAO Fang-kai, et al. Spatiotemporal Variations of Cyanobacteria Blooms in Lake Dianchi and the Relationship with Environmental Factors[J]. Research of Soil and Water Conservation, 2024, 31(4): 419-429. (in Chinese))
[3]
吕睿, 赵好轩, 麦富生, 等. 滇池流域表层沉积物溶解性有机质分布特征及其环境意义[J]. 环境科学学报, 2024, 44(8): 337-350.
( Rui, ZHAO Hao-xuan, MAI Fu-sheng, et al. Characteristics of Dissolved Organic Matter Distribution in Surface Sediments of Dianchi Basin and Its Environmental Significance[J]. Acta Scientiae Circumstantiae, 2024, 44(8): 337-350. (in Chinese))
[4]
张卓亚, 刘晨阳, 朱昱泽, 等. 1990—2020年滇池水质时空变化特征及评价[J]. 西南林业大学学报(自然科学), 2023, 43(4): 141-151.
(ZHANG Zhuo-ya, LIU Chen-yang, ZHU Yu-ze, et al. Analysis on Temporal and Spatial Variation of Water Quality in Dianchi Lake from 1990 to 2020[J]. Journal of Southwest Forestry University (Natural Sciences), 2023, 43(4): 141-151. (in Chinese))
[5]
黄杰, 王英才, 邓晓庆, 等. 滇池水质及营养状态时空变化特征[J]. 人民长江, 2022, 53(6): 61-67.
(HUANG Jie, WANG Ying-cai, DENG Xiao-qing, et al. Characteristics of Spatial and Temporal Variation of Water Quality and Nutritional Status in Dianchi Lake[J]. Yangtze River, 2022, 53(6): 61-67. (in Chinese))
[6]
刘春燕, 余艳惠, 王蓉, 等. 滇池浮游生物多样性特征[J]. 西部林业科学, 2016, 45(1): 74-80.
(LIU Chun-yan, YU Yan-hui, WANG Rong, et al. The Plankton Diversity of Dianchi Lake[J]. Journal of West China Forestry Science, 2016, 45(1): 74-80. (in Chinese))
[7]
张旭达, 韩谞, 孙长顺, 等. 无定河及延河流域不同时空尺度下土地利用对水质的影响[J]. 环境科学, 2024, 45(8):4540-4552.
(ZHANG Xu-da, HAN Xu, SUN Chang-shun, et al. Effects of Landscape Pattern on Water Quality at Different Spatial and Temporal Scales in Wuding River Basin and Yanhe River Basin[J]. Environmental Science, 2024, 45(8): 4540-4552. (in Chinese))
[8]
杨列, 闫霄珂, 刘艳丽, 等. 基于WQImin模型的武汉市金银湖水质时空特性[J]. raybet体育在线 院报, 2022, 39(4): 49-55, 62.
Abstract
为确定武汉市金银湖水域水质状况,提出水质评价报告,对武汉市金银湖7个水系10个典型水质指标的时空变化特征进行研究,建立了包含五日生化需氧量(BOD<sub>5</sub>)、高锰酸盐指数(PI)、化学需氧量(COD)和溶解氧(DO)的4个主要污染指标的水质指数模型(WQI<sub>min</sub>)。结果表明:①金银湖水质空间分布特征差异较大;位于其上游的东银湖、上金湖和墨水湖属于水质较差的污染区域(WQI<sub>min</sub>=25.63~31.79);位于金银湖下游的东大湖、下金湖、下银湖和上银湖属于水质中等的低污染区域(WQI<sub>min</sub>=45.64~53.19)。②金银湖水质时间格局分为3段:2019年1月水质状况最佳(WQI<sub>min</sub>=61.68);2018年8月—2019年3月(2019年1月除外)为低污染时期(WQI<sub>min</sub>=47.17~52.70);2019年4—10月份为水质较差的污染时期(WQI<sub>min</sub>=24.41~35.95)。③2019年8—9月份与2018年同期相比水质下降,其原因应为外源和内源污染物的排放增长,金银湖水体治理管控需进一步加强。
(YANG Lie, YAN Xiao-ke, LIU Yan-li, et al. Analyzing Spatio-temporal Characteristics of Water Quality in Jinyin Lake Using Water Quality Crucial Index(WQImin)[J]. Journal of Yangtze River Scientific Research Institute, 2022, 39(4): 49-55, 62. (in Chinese))
The spatial and temporal changes of ten water quality indicators obtained monthly from August 2018 to October 2019 in seven water systems of Jinyin Lake in Wuhan were investigated by constructing a water quality crucial index model (WQI<sub>min</sub>) consisting of four crucial indices, namely, five-day biochemical oxygen demand (BOD<sub>5</sub>), permanganate index (PI), chemical oxygen demand (COD), and dissolved oxygen (DO) using principal component analysis. Result demonstrated that the water quality in Jinyin Lake differed notably in spatial scale: Dongyin Lake, Shangjin Lake, and Moshui Lake in the upstream of Jinyin Lake belonged to polluted area of inferior water quality with the WQI<sub>min</sub> values ranging between 25.63 and 31.79; Dongda Lake, Xiajin Lake, Xiayin Lake and Shangyin Lake in the downsteam were low-polluted areas of medium level with their average WQI<sub>min</sub> values ranging from 45.64 to 53.19. In temporal scale, water quality in Jinyin Lake can be divided according to three time periods: January 2019 witnessed the optimum water quality with an average WQI<sub>min</sub> value amounting to 61.68; August 2018 to March 2019 (except for January 2019) undergone low pollution with the average WQI<sub>min</sub> value from 47.17 to 52.70; April 2019 to October 2019 presented inferior water quality with the WQI<sub>min</sub> value from 24.41 to 35.95. The water quality in August-September 2019 declined compared with the same period in 2018 because of the increasing discharge of xenobiotic and endogenous pollutants. In conclusion, the water management of Jinyin Lake needs to be further strengthened.
[9]
范泽宇, 袁林, 周亦, 等. 基于WQI法的滴水湖及入湖河道水质研究[J]. 上海海洋大学学报, 2021, 30(2): 276-283.
(FAN Ze-yu, YUAN Lin, ZHOU Yi, et al. Research on the Water Quality of Dishui Lake and the River into the Lake Based on WQI Method[J]. Journal of Shanghai Ocean University, 2021, 30(2): 276-283. (in Chinese))
[10]
李祚泳, 汪嘉杨, 郭淳. 富营养化评价的对数型幂函数普适指数公式[J]. 环境科学学报, 2010, 30(3):664-672.
(LI Zuo-yong, WANG Jia-yang, GUO Chun. A Logarithmic Power Function Universal Exponential Formula for Eutrophication Evaluation[J]. Journal of Environmental Science, 2010, 30(3):664-672. (in Chinese))
[11]
赵宇航, 殷浩凯, 解文艳, 等. 乡镇尺度农田土壤养分时空变异性研究[J]. 农业资源与环境学报, 2024, 41(5):1071-1082.
(ZHAO Yu-hang, YIN Hao-kai, XIE Wen-yan, et al. Spatial and Temporal Variability of Soil Nutrients in Township-scale Agricultural Fields[J]. Journal of Agricultural Resources and Environment, 2024, 41(5): 1071-1082. (in Chinese))
[12]
嵇晓燕, 彭丹. “十三五” 时期长江流域总磷浓度变化特征[J]. raybet体育在线 院报, 2022, 39(8): 1-9.
Abstract
为了探究“十三五”时期长江流域总磷浓度变化,采用“十三五”时期长江流域国家地表水环境质量监测网开展连续监测的590个河流断面和116个湖库点位的总磷数据,分析浓度时空变化特征。结果表明:“十三五”时期长江流域总磷浓度随着时间变化呈下降趋势,年平均浓度由2016年的0.106 mg/L下降至2020年的0.072 mg/L;长江干流93.2%的断面总磷浓度有所下降,年平均浓度由2016年的0.092 mg/L下降至2020年的0.059 mg/L。岷江、沱江和乌江总磷浓度明显下降,降幅超过50%;岷江、沱江、乌江和汉江等主要支流汇入后导致干流沿程总磷浓度有所升高。62.9%的湖库点位总磷浓度较2016年有所下降,太湖和巢湖秋季总磷浓度较高,洞庭湖、鄱阳湖和丹江口水库冬季总磷浓度较高,滇池夏季总磷浓度较高。研究成果一方面反映水污染防治的积极成效,另一方面可为总磷污染深入治理提供参考。
(JI Xiao-yan, PENG Dan. Variation Characteristics of Total Phosphorus Concentration in the Yangtze River Basin in the Thirteenth Five-year Plan Period[J]. Journal of Yangtze River Scientific Research Institute, 2022, 39(8): 1-9. (in Chinese))
The spatial-temporal variation characteristics of total phosphorus (TP) in the Thirteenth Five-Year Plan period are examined in this paper based on the TP data of 590 river sections and 116 lakes and reservoir points in the Yangtze River Basin monitored by the National Examination Network. Results revealed a decline trend of TP concentration in the Yangtze River Basin in the Thirteenth Five-Year Plan period,with the annual average concentration dropping from 0.106 mg/L in 2016 to 0.072 mg/L in 2020. TP concentration in 93.2% sections of the mainstream of Yangtze River decreased,with the annual average concentration reducing from 0.092 mg/L in 2016 to 0.059 mg/L in 2020. Minjiang River,Tuojiang River and Wujiang River witnessed apparent decrease (over 50%) of TP concentration,while the mainstream of Yangtze River experienced a rise of TP concentration due to the inflow of major tributaries including Minjiang River,Tuojiang River,Wujiang River and Hanjiang River. TP concentration at 62.9% of lake and reservoir sites decreased compared with that in 2016. Taihu lake and Chaohu Lake suffered from high TP concentration in autumn,Dongting Lake,Poyang Lake and Danjiangkou Reservoir in winter,and Dianchi Lake in summer. The research finding reflects the positive results of water pollution prevention and control in the Yangtze River Basin on the one hand,and offers reference for the in-depth control of TP pollution in the Yangtze River Basin on the other.
[13]
王佳恒, 颜蔚, 段学军, 等. 湖泊生态缓冲带识别与生态系统服务价值评估: 以滇池为例[J]. 生态学报, 2023, 43(3): 1005-1015.
(WANG Jia-heng, YAN Wei, DUAN Xue-jun, et al. Lake Ecological Buffer Zone Identification and Ecosystem Service Value Evaluation: A Case Study of Lake Dianchi[J]. Acta Ecologica Sinica, 2023, 43(3): 1005-1015. (in Chinese))
[14]
袁凌晨, 蓝鲜梨, 刘承羽, 等. 滇池湖滨带芦苇湿地土壤甲烷氧化菌丰度和群落结构分布特征[J]. 应用与环境生物学报, 2024, 30(2):281-290.
(YUAN Ling-chen, LAN Xian-li, LIU Cheng-yu, et al. Abundance and Community Structure of Methane-oxidizing Microorganisms in Riparian Reed Wetland Soil of Dianchi Lake[J]. Chinese Journal of Applied and Environmental Biology, 2024, 30(2): 281-290. (in Chinese))
[15]
中华人民共和国生态环境部. 2023年中国生态环境状况公报(摘录)[J]. 环境保护, 2024, 52(11): 53-65.
(Ministry of Ecological Environment of the People’s Republic of China. China Ecological Environment Status Bulletin 2023(Excerpt)[J]. Environmental Protection, 2024, 52(11): 53-65. (in Chinese))
[16]
成小英, 李世杰, 濮培民. 城市富营养化湖泊生态恢复: 南京莫愁湖物理生态工程试验[J]. 湖泊科学, 2006, 18(3): 218-224.
(CHENG Xiao-ying, LI Shi-jie, PU Pei-min. Ecological Restoration of Urban Eutrophic Lakes——A Case Study on the Physical and Ecological Engineering in Lake Mochou, Nanjing[J]. Journal of Lake Sciences, 2006, 18(3): 218-224. (in Chinese))
[17]
郭乃鑫. 滇池流域水污染防治政策执行偏差及其矫正路径研究[D]. 昆明: 云南师范大学, 2023.
(GUO Nai-xin. Study on the Implementation Deviation of Water Pollution Prevention and Control Policy in Dianchi Lake Basin and Its Correction Path[D]. Kunming: Yunnan Normal University, 2023. (in Chinese))
[18]
高东东, 张涵, 任兴念, 等. 长江上游典型季节性河流富营养化评价及污染成因分析[J]. 长江流域资源与环境, 2024, 33(3):584-595.
(GAO Dong-dong, ZHANG Han, REN Xing-nian, et al. Evaluation of Eutrophication and Analysis of Pollution Factors in Eutrophication and Pollution Factors in Typical Seasonal Rivers of Upper Yangtze River[J]. Resources and Environment in the Yangtze Basin, 2024, 33(3): 584-595. (in Chinese))
[19]
张虎才, 常凤琴, 段立曾, 等. 滇池水质特征及变化[J]. 地球科学进展, 2017, 32(6):651-659.
Abstract
利用2015年4~9月对滇池从北到南4个部位的水体水温(Temperature或Temp)、溶解氧(DO)、pH值、叶绿素a(Chl-a)、藻蓝蛋白(Phycocyanin或PC) 和电导率(Conductivity或CD)浓度等监测数据,分析了各参数从旱季向雨季转化以及雨季的特征和空间变化;通过表征蓝藻的藻蓝蛋白浓度和所有藻类的叶绿素浓度之比计算获得了水体中的蓝藻相对数量指数(Cyanophyte Relative Quantity Index, CRQI),并估算了蓝藻在湖泊中的相对数量。结果表明:滇池水温经4~5月增温后在6月达到最高值,之后7~9月在保持一定稳定性的背景下逐步降温,水体温度的变化过程不但会受到水深的影响,表现出在快速升温期不同部位升温速度不同、表层水温快的特点。实测数据分析发现,以叶绿素a值所代表的真核生物在4月快速增加并达到最大值,但以藻蓝蛋白所指示的蓝藻却在9月暴发,这与湖泊表层和底层水温一致、溶解氧含量丰富、pH值达最高并均一及水体盐度较低等因素直接相关。
(ZHANG Hu-cai, CHANG Feng-qin, DUAN Li-zeng, et al. Water Quality Characteristics and Variations of Lake Dian[J]. Advances in Earth Science, 2017, 32(6):651-659. (in Chinese))

In order to understand the seasonal change tendencies of the water quality of the Lake Dian (Dianchi), the monitoring data from April to September 2015 at four sites distributed in the central part from North to south were analyzed, these data includes the profiles of the water temperature (Temperature or Temp.), Dissolved Oxygen content (DO), pH values, Chlorophyll-a (Chl-a), Phycocyanin (PC) and Conductivity (CD). At the same time, the Cyanophyte Relative Quantity Index (CRQI) was calculated based on the contents of Phycocyanin and Chlorophyll-a. The results demonstrate that along with the air temperature increase, the water temperature also increased step by step from April and May, and reach the maximum in June, from July to September, the water temperature kept relatively stable and decrease steadily. It also shows that the water temperature is not only various with different water depth, but also show that the temperature increase at different speed, even generally show that the surface temperature increase more rapidly than the deep water. The water temperature and its changes may adjust the air temperature of Kunming strongly and therefore, it is important for the forming of the Four Springs City of Kunming. We found that the amount of eukaryotes represented by Chlorophyll-a increased quickly and reach the highest level in the April, but the blue-green algae, which represented by the Phycocyanin is blooming in the September. This might imply that when the blue-green algae dominated the algae, the algae blooming occur. This is of great importance to understand the algae blooming processes in Lake Dian. We hope the further monitoring will provide us more detailed and useful information. Mean while, the changes of DO, pH and CD all have shown their unique that inspire us to continue the lake water monitoring. This monitoring work also proves that the single site measurements cannot provide any reliable and useful information about the lake water quality. More detailed and sustained monitoring works need to be done before we have a fully understanding on the changes of the lake water quality.

[20]
冯昶瑞, 蒋名亮, 牛海林, 等. 滇池近20年水环境变化趋势与影响因素分析[J]. 环境监测管理与技术, 2024, 36(2):12-18.
(FENG Chang-rui, JIANG Ming-liang, NIU Hai-lin, et al. Analysis of Water Environment Change Trend and Influencing Factors in Dianchi Lake in Recent 20 Years[J]. The Administration and Technique of Environmental Monitoring, 2024, 36(2):12-18. (in Chinese))
[21]
赵世民, 王道玮, 李晓铭, 等. 滇池及其河口沉积物中重金属污染评价[J]. 环境化学, 2014, 33(2):276-285.
(ZHAO Shi-min, WANG Dao-wei, LI Xiao-ming, et al. Assessment on Heavy Metals Pollution in Surface Sediments of Dianchi Lake and Its Estuaries[J]. Environmental Chemistry, 2014, 33(2): 276-285. (in Chinese))
PDF(7034 KB)

Accesses

Citation

Detail

Sections
Recommended

/

Baidu
map