Numerical Simulation of Grab Dredging on Flow Field and Sdiment Suspension Pattern in Construction Area

LONG Rui, JIN Zhong-wu, Tomoaki NAKAMURA, Yonghwan CHO, Norimi MIZUTANI

Journal of Changjiang River Scientific Research Institute ›› 2025, Vol. 42 ›› Issue (7) : 18-23.

PDF(4782 KB)
PDF(4782 KB)
Journal of Changjiang River Scientific Research Institute ›› 2025, Vol. 42 ›› Issue (7) : 18-23. DOI: 10.11988/ckyyb.20240233
River-Lake Protection and Regulation

Numerical Simulation of Grab Dredging on Flow Field and Sdiment Suspension Pattern in Construction Area

Author information +
History +

Abstract

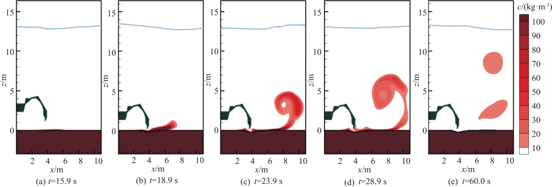
[Objectives] The sedimentation of rivers and lakes poses a persistent challenge to water resource management. Dredging, while effective for removing excess sediment and restoring channel capacity, often triggers the resuspension of contaminated bed material, leading to secondary pollution and ecological disturbance. Among various dredging techniques, grab-type dredging is widely used for its adaptability to diverse bed conditions, but its impact on local flow fields and sediment dynamics remains underexplored. This study addresses this gap by employing a full-scale two-dimensional numerical simulation using the FS3M (Fluid-Structure-Sediment-Seabed Interaction Model) to investigate the hydrodynamic and sediment suspension responses during grab bucket descent. The aim is to identify descent strategies that minimize sediment resuspension and contribute to more environmentally friendly dredging operations. [Methods] The simulation framework integrates Large Eddy Simulation (LES) for turbulent flow, a Volume of Fluid (VOF) method for water-sediment interface tracking, and a sediment transport module (STM) for modeling both suspended and bedload sediment processes. A 23 m3 environmentally friendly grab bucket is modeled descending in a symmetric two-dimensional domain that includes a 3-meter-thick sand bed. Multiple descent cases are considered: a baseline with constant velocity (1.0 m/s) and six modified cases where the grab decelerates at different heights (1.0 m, 3.0 m, 5.0 m) above the bed, with secondary descent speeds of either 0.33 m/s or 0.50 m/s. Bed deformation, flow velocity, and sediment concentration distributions are monitored over time to assess each strategy’s environmental performance. [Results] Simulation results show that the grab bucket generates significant flow disturbances during its descent, especially near the sediment bed, causing bed erosion and sediment entrainment. In the baseline scenario, rapid descent leads to high flow velocities at the bed surface and the formation of vortices that promote sediment resuspension and diffusion. In contrast, cases involving velocity reduction prior to bed contact exhibit a marked decrease in sediment disturbance. Specifically: 1)Lowering the descent speed reduces the near-bed flow velocity and suppresses the entrainment of suspended sediment. 2)Starting the deceleration at 3.0 meters above the bed (Case D3) with a reduced speed of 0.33 m/s achieves the best balance between operational efficiency and environmental performance. 3)Cases with deceleration starting at 5.0 meters do not significantly improve sediment control compared to the 3.0-meter point, suggesting diminishing returns for earlier deceleration. 4)The presence of a movable bed significantly alters flow patterns compared to fixed-bed simulations, emphasizing the importance of accounting for sediment feedback in modeling. [Conclusions] This study demonstrates that modifying the descent speed of a grab bucket is an effective way to reduce sediment resuspension during dredging operations. Key conclusions are as follows: 1)Environmental Impact Mitigation: Gradually reducing the grab’s descent speed before it reaches the sediment bed effectively decreases near-bed turbulence and sediment entrainment, thereby mitigating secondary pollution. 2)Recommended Strategy: Decelerating to one-third of the initial speed (0.33 m/s) starting at 3.0 m above the bed is the optimal descent profile among the cases studied, achieving substantial reduction in suspended sediment without compromising operational feasibility. 3)Modeling Advances: The integration of fluid, structural, and sediment dynamics through the FS3M model provides a powerful tool for analyzing complex interactions in dredging scenarios, capturing realistic behavior that conventional monitoring methods cannot resolve. 4)Future Work: Further studies should extend the modeling to include sediment excavation and lifting processes, and explore dynamic descent control strategies based on real-time sediment feedback.

Key words

dredging / grab bucket / flow field / suspended sediment / numerical simulation

Cite this article

Download Citations
LONG Rui , JIN Zhong-wu , Tomoaki NAKAMURA , et al . Numerical Simulation of Grab Dredging on Flow Field and Sdiment Suspension Pattern in Construction Area[J]. Journal of Changjiang River Scientific Research Institute. 2025, 42(7): 18-23 https://doi.org/10.11988/ckyyb.20240233

References

[1]
李继洲, 吴海旭, 姜万, 等. 南京城区黑臭河道底泥污染特征及生态风险评价[J]. 长江流域资源与环境, 2015, 24(11):1913-1919.
(LI Ji-zhou, WU Hai-xu, JIANG Wan, et al. Pollution Characteristics and Ecological Risk Assessment of Sediment from Malodorous Rivers in Nanjing City[J]. Resources and Environment in the Yangtze Basin, 2015, 24(11): 1913-1919.(in Chinese))
[2]
张文慧, 许秋瑾, 胡小贞, 等. 山美水库沉积物重金属污染状况及风险评价[J]. 环境科学研究, 2016, 29(7):1006-1013.
(ZHANG Wen-hui, XU Qiu-jin, HU Xiao-zhen, et al. Pollution and Potential Ecological Risks of Heavy Metals in Sediment of Shanmei Reservoir[J]. Research of Environmental Sciences, 2016, 29(7): 1006-1013.(in Chinese))
[3]
陈文松, 宁寻安, 李萍, 等. 底泥污染物的环境行为研究进展[J]. 水资源保护, 2007, 23(4): 1-5.
(CHEN Wen-song, NING Xun-an, LI Ping, et al. Environmental Behavior of Pollutants in Sediments[J]. Water Resources Protection, 2007, 23(4): 1-5.(in Chinese))
[4]
吕拥军, 时永生. 武汉新区六湖水系湖泊底泥污染特性及潜在危害评估[J]. 给水排水, 2016, 52(增刊1):177-180.
( Yong-jun, SHI Yong-sheng. Pollution Characteristics and Potential Hazard Assessment of Lake Sediment in Liuhu Lake System of Wuhan New District[J]. Water & Wastewater Engineering, 2016, 52(Supp.1): 177-180.(in Chinese))
[5]
RAYMOND G L. Techniques to Reduce the Sediment Resuspension Caused by Dredging(no.WES/MP/HL-84-3)[R]. Washington: US Army Corps of Engineers, 1984.
[6]
LUGER S A, SCHOONEES J S, MOCKE G P, et al. Predicting and Evaluating Turbidity Caused by Dredging in the Environmentally Sensitive Saldanha Bay[C]//Proceedings of Coastal Engineering 1998. Copenhagen, Denmark: American Society of Civil Engineers, 1999:3561-3574.
[7]
BRIDGES T S, ELLS S, HAYES D, et al. The Four Rs of Environmental Dredging: Resuspension, Release, Residual, and Risk(No.ERDC/EL-TR-08-4)[R]. Washington: US Army Corps of Engineers, 2008.
[8]
PATMONT C, LAROSA P, NARAYANAN R, et al. Environmental Dredging Residual Generation and Management[J]. Integrated Environmental Assessment and Management, 2018, 14(3): 335-343.
The presence and magnitude of sediment contamination remaining in a completed dredge area can often dictate the success of an environmental dredging project. The need to better understand and manage this remaining contamination, referred to as "postdredging residuals," has increasingly been recognized by practitioners and investigators. Based on recent dredging projects with robust characterization programs, it is now understood that the residual contamination layer in the postdredging sediment comprises a mixture of contaminated sediments that originate from throughout the dredge cut. This mixture of contaminated sediments initially exhibits fluid mud properties that can contribute to sediment transport and contamination risk outside of the dredge area. This article reviews robust dredging residual evaluations recently performed in the United States and Canada, including the Hudson River, Lower Fox River, Ashtabula River, and Esquimalt Harbour, along with other projects. These data better inform the understanding of residuals generation, leading to improved models of dredging residual formation to inform remedy evaluation, selection, design, and implementation. Data from these projects confirm that the magnitude of dredging residuals is largely determined by site conditions, primarily in situ sediment fluidity or liquidity as measured by dry bulk density. While the generation of dredging residuals cannot be avoided, residuals can be successfully and efficiently managed through careful development and implementation of site-specific management plans. Integr Environ Assess Manag 2018;14:335-343. © 2018 The Authors. Integrated Environmental Assessment and Management Published by Wiley Periodicals, Inc. on behalf of Society of Environmental Toxicology & Chemistry (SETAC).© 2018 The Authors. Integrated Environmental Assessment and Management Published by Wiley Periodicals, Inc. on behalf of Society of Environmental Toxicology & Chemistry (SETAC).
[9]
POWLES H, BRADFORD M J, BRADFORD R G, et al. Assessing and Protecting Endangered Marine Species[J]. ICES Journal of Marine Science, 2000, 57(3):669-676.
[10]
MORA C, CALDWELL I R, BIRKELAND C, et al. Dredging in the Spratly Islands: Gaining Land but Losing Reefs[J]. PLoS Biology, 2016, 14(3): e1002422.
[11]
ROGERS C. Responses of Coral Reefs and Reef Organisms toSedimentation[J]. Marine Ecology Progress Series, 1990, 62: 185-202.
[12]
KJELLAND M E, WOODLEY C M, SWANNACK T M, et al. A Review of the Potential Effects of Suspended Sediment on Fishes: Potential Dredging-related Physiological, Behavioral, and Transgenerational Implications[J]. Environment Systems and Decisions, 2015, 35(3): 334-350.
[13]
WENGER A S, HARVEY E, WILSON S, et al. A Critical Analysis of the Direct Effects of Dredging on Fish[J]. Fish and Fisheries, 2017, 18(5): 967-985.
[14]
龙瑞, Tomoaki Nakamura, Yonghwan Cho, 等. 抓斗下降时流场和最优下降方式的数值计算[J]. raybet体育在线 院报, 2017, 34(12): 7-11, 16.
Abstract
疏浚作业时如何能有效减少水体浑浊,减轻污染一直是人们关注的问题。利用可以分析流体和固体间运动相互作用的数学模型,模拟了环保型抓斗下降过程中的流场情况,并讨论了不同下降方式对流场的影响,提出了能适度控制流场扰动的操作方法。结果表明:抓斗在下降过程中减速能有效减少底面流速,达到抑制底面浑浊的效果,其中抓斗在距离底面3 m处减速为初始速度的1/3能最有效减少水体扰动从而抑制底面浑浊。研究结果可为环保型疏浚施工提供参考。
(LONG Rui, NAKAMURA T, CHO Y, et al. Numerical Calculation of Flow Field and Optimal Operation during the Drop of Grab Bucket[J]. Journal of Yangtze River Scientific Research Institute, 2017, 34(12): 7-11, 16.(in Chinese))
It is essential to effectively reduce the generation of turbidity and pollution in dredging works. In this paper, the flow field during the drop of a sealed grab bucket was simulated with a three-dimensional coupled fluid-structure-sediment-seabed interaction model (FS3M), and the impact of different drop modes on turbidity was discussed in order to propose the optimal drop operation for reducing the turbidity effectively. Numerical results showed that a decrease in the drop speed of the bucket could effectively reduce flow velocity at the bottom, suggesting a reduction in the generation of turbidity from the bottom. In particular, reducing the drop speed of grab bucket to one-third at 3 meters from the bottom is found to be the most effective.
[15]
NAKAMURA T, YIM S C, MIZUTANI N. Three-dimensional Fluid-structure-sediment Interaction Modeling with Application to Local Scouring around a Movable Cylinder[J]. Journal of Offshore Mechanics and Arctic Engineering, 2013, 135(3): 031105.
[16]
KANAZAWA T, TSUJIKITA S, NAKAMURA T. Impact on the Flow Field and the Turbidity by Lowering, Hoisting Operation of the Grab Bucket[J]. Journal of Japan Society of Civil Engineers,Ser B3 (Ocean Engineering), 2016, 72(2): I_580-I_585.
PDF(4782 KB)

Accesses

Citation

Detail

Sections
Recommended

/

Baidu
map