Optimal Selection Criterion for Runoff Component Models Based on Benefit-Risk Balance

DING Xiao-ling, HU Wei-zhong, TANG Hai-hua, LUO Bin, FENG Kuai-le

Journal of Changjiang River Scientific Research Institute ›› 2025, Vol. 42 ›› Issue (6) : 21-28.

PDF(7301 KB)
PDF(7301 KB)
Journal of Changjiang River Scientific Research Institute ›› 2025, Vol. 42 ›› Issue (6) : 21-28. DOI: 10.11988/ckyyb.20240228
Water Resources

Optimal Selection Criterion for Runoff Component Models Based on Benefit-Risk Balance

Author information +
History +

Abstract

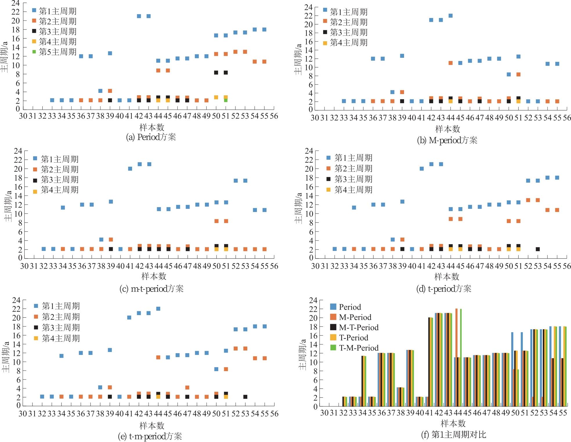
[Objectives] Identification of runoff components is a key aspect of hydrological analysis and is crucial for understanding the evolution patterns of watershed water resources. Traditional runoff component models are often constructed based on the criterion of maximizing the extraction accuracy of deterministic components for the runoff series of a given length. However, a unified criterion for selecting model forms that adapt to variations in runoff series length over time is still lacking, making it difficult to determine the types of runoff components and the order of their separation during modeling. To address this, this study proposes a selection criterion for runoff component models based on the balance between benefits and risks. [Methods] Based on the diagnosis and quantitative description of evolution characteristics such as mutations, trends, and periodicities using time-series variability detection methods—the Mann-Kendall test, sliding T-test, Pettitt test, Standard Normal Homogeneity test, Buishand test, and periodogram—different forms of linear superposition models were developed by combinations and extraction sequences of the identified components, such as mutation, trend, and periodicity. These models were then employed to dynamically identify the components of runoff sequences with varying lengths. The accuracy of deterministic component identification was used to represent the “benefits” achieved by the model in runoff component recognition, while the magnitude of fluctuations in model accuracy under varying runoff sequences (i.e., stability) was regarded as the “risk”. A weighting coefficient representing the decision-maker’s preferences was introduced as a balancing variable to construct a benefit-risk balance indicator. Subsequently, runoff component models were optimized based on the criterion of minimizing this benefit-risk balance indicator. [Results] Using the runoff sequence from 1956 to 2010 at the Pingshan Station on the lower reaches of the Jinsha River as a case study, variable-length runoff sequences (with sample sizes ranging from 30 to 55) were constructed, starting from 1956 and ending in any year from 1986 to 2010. Runoff component identification was conducted under different model forms, and the proposed benefit-risk balance criterion was applied for model selection analysis. The results indicated mutual offsetting among components such as mutations, trends, and periodicities in the runoff sequence, and the same runoff sequence could be characterized by multiple models, each representing distinct compositional forms of runoff components. Runoff component identification was jointly influenced by both the model form and the sequence length; models with higher identification accuracy exhibited relatively lower stability when responding to changes in sequence length. For instance, models incorporating periodic components demonstrated superior fitting accuracy compared to those containing only trend or mutation terms, which in turn outperformed multi-year average models, while the stability of accuracy changes followed the opposite trend. If the decision-making objective was to achieve a more adequate fitting, models that sequentially separate mutations and periodic components are prioritized; conversely, if the objective was to maintain more stable accuracy with varying sequence lengths, models that identify only mutation or trend terms were more advantageous. [Conclusions] A novel approach is proposed in this study for selecting component models of variable-length runoff sequences by balancing identification accuracy (benefit) and stability (risk). Both the accuracy and stability indicators proposed in the criterion can be flexibly defined according to decision-making needs, facilitating decision-makers in comprehensively considering their preferences for model accuracy and stability under varying conditions to optimize model selection.

Key words

runoff component model / model selection criterion / linear superposition model / benefit-risk balance / variable-length runoff sequences

Cite this article

Download Citations
DING Xiao-ling , HU Wei-zhong , TANG Hai-hua , et al . Optimal Selection Criterion for Runoff Component Models Based on Benefit-Risk Balance[J]. Journal of Changjiang River Scientific Research Institute. 2025, 42(6): 21-28 https://doi.org/10.11988/ckyyb.20240228

References

[1]
姜瑶, 徐宗学, 王静. 基于年径流序列的五种趋势检测方法性能对比[J]. 水利学报, 2020, 51(7): 845-857.
(JIANG Yao, XU Zong-xue, WANG Jing. Comparison among Five Methods of Trend Detection for Annual Runoff Series[J]. Journal of Hydraulic Engineering, 2020, 51(7): 845-857. (in Chinese))
[2]
苏翠, 胡友兵, 冯志刚, 等. 淮河正阳关以上主要控制站径流突变及原因分析[J]. raybet体育在线 院报, 2022, 39(4):27-33.
Abstract
基于20世纪50年代以来正阳关以上主要控制站逐月实测径流资料及控制站以上雨量站逐月降水资料,采用Mann-Kendall趋势分析法、Mann-Kendall突变检验法和滑动t检验法,对其主要控制站径流进行趋势分析及突变检验,并对突变的影响因素进行分析。结果表明:50年代以来正阳关以上主要控制站径流均呈下降趋势,支流控制站下降趋势更为明显。淮南支流蒋家集站和横排头站在50年代后期发生突变,原因在于控制站以上水库建成并投入使用,导致径流发生了突变性的减小;淮北支流阜阳闸站年径流在1971年发生突变减小,可能因为70年代降水量较小,闸坝的拦蓄调控作用使得径流减小趋势更为显著。变化期蒋家集站、横排头站、阜阳闸站受人类活动的径流影响量分别为1 160亿、1 043亿、1 303亿m<sup>3</sup>,径流量减少率分别为49.5%、61.8%、42.3%。研究成果可为淮河流域水旱灾害防御和水资源管理提供技术支撑。
(SU Cui, HU You-bing, FENG Zhi-gang, et al. Abrupt Changes and Their Causes of Runoff at Main Control Stations Upstream of Zhengyangguan of Huaihe River[J]. Journal of Yangtze River Scientific Research Institute, 2022, 39(4):27-33. (in Chinese))
The trends and abrupt changes of runoff at major control stations in the upstream of Zhengyangguan were investigated by using Mann-Kendall trend analysis method,Mann-Kendall abrupt change test method,and moving-t test method based on monthly measured runoff data and the monthly precipitation data since the 1950s. Factors affecting the abrupt change of runoff were also analyzed. Results demonstrated that the runoff of main control stations upstream of Zhengyangguan has been on a downward trend since the 1950s, and that of the tributary control stations more obvious. In the late 1950s, the Jiangjiaji station and Hengpaitou station in the southern tributary of Huaihe River witnessed abrupt changes in runoff because the reservoirs in the upstream of control station was built and put into operation, which led to the abrupt reduction of runoff. The annual runoff of Fuyangzha station in Huaibei tributary declined abruptly in 1971 possibly because of both the small precipitation in the 1970s and the regulation effect of sluice and dam. During the abrupt changes, the runoff of Jiangjiaji station, Hengpaitou station and Fuyangzha station affected by human activities were 116.0 billion,104.3 billion,130.3 billion m<sup>3</sup> respectively, and the runoff reduction rates were 49.5%, 61.8% and 42.3%, respectively.The research results can provide technical support for flood and drought disaster prevention and water resources management for the Huaihe River Basin.
[3]
邹磊, 张彦, 陈婷, 等. 汉江流域降水与径流演变特征研究[J]. 水文, 2023, 43(2): 103-109.
(ZOU Lei, ZHANG Yan, CHEN Ting, et al. Evolution Characteristics of Precipitation and Runoff in the Hanjiang River Basin[J]. Journal of China Hydrology, 2023, 43(2): 103-109. (in Chinese))
[4]
冯胜航, 王党伟, 秦蕾蕾, 等. 金沙江流域径流变化特征及成因[J]. 南水北调与水利科技(中英文), 2023, 21(2): 248-257.
(FENG Sheng-hang, WANG Dang-wei, QIN Lei-lei, et al. The Characteristic and Cause of Runoff Variation in Jinsha River Basin[J]. South-to-North Water Transfers and Water Science & Technology, 2023, 21(2): 248-257. (in Chinese))
[5]
YANG X, XIA J, LIU J, et al. Evolutionary Characteristics of Runoff in a Changing Environment:A Case Study of Dawen River, China[J]. Water, 2023, 15(4): 636.
[6]
李艳玲. 变化环境下水文序列的变异诊断与预测[D]. 西安: 西安理工大学, 2015.
(LI Yan-ling. Abrupt Change Detection and Prediction in Changing Environment[D]. Xi’an: Xi’an University of Technology, 2015 (in Chinese))
[7]
杜克胜, 孙玉娟, 胡兴林. 水文预报加法模型在甘肃省主要河流年径流预测中的应用研究[J]. 地下水, 2020, 42(2): 156-157.
(DU Ke-sheng, SUN Yu-juan, HU Xing-lin. Study on Application of Hydrological Forecasting Addition Model in Annual Runoff Prediction of Main Rivers in Gansu Province[J]. Ground Water, 2020, 42(2): 156-157. (in Chinese))
[8]
王文圣, 金菊良, 丁晶. 随机水文学[M]. 3版. 北京: 中国水利水电出版社, 2016.
(WANG Wen-sheng, JIN Ju-liang, DING Jing. Stochastic Hydrology[M]. 3rdEd. Beijing: China Water & Power Press, 2016. (in Chinese))
[9]
覃爱基, 陈雪英, 郑艳霞. 宜昌径流时间序列的统计分析[J]. 水文, 1993, 13(5): 15-21.
(QIN Ai-ji, CHEN Xue-ying, ZHENG Yan-xia. Statistical Analysis of Yichang Runoff Time Series[J]. Hydrology, 1993, 13(5): 15-21. (in Chinese))
[10]
于延胜, 陈兴伟, 徐宗学. 基于线性分解时序方法的径流序列长度影响研究[J]. 水土保持通报, 2009, 29(4):106-109,179.
(YU Yan-sheng, CHEN Xing-wei, XU Zong-xue. Effects of Time Series Length on Runoff Characteristics by Using Linear Decomposition Method[J]. Bulletin of Soil and Water Conservation, 2009, 29(4): 106-109, 179. (in Chinese))
[11]
谢平, 陈广才, 雷红富, 等. 水文变异诊断系统及其应用研究Ⅰ:系统结构与诊断原理[C]// 河流开发保护与水资源可持续利用:第六届中国水论坛论文集. 北京: 中国水利水电出版社, 2008:15-19.
(XIE Ping, CHEN Guang-cai, LEI Hong-fu, et al. Hydrological Anomaly Diagnosis System and Its Application I: System Structure and Diagnosis Principles[C]// River Protection and Water Resources Sustainable Utilization: Proceedings of the Sixth China Water Forum. Beijing: China Water & Power Press, 2008:15-19. (in Chinese))
[12]
邹磊, 夏军, 张印, 等. 海河流域降水时空演变特征及其驱动力分析[J]. 水资源保护, 2021, 37(1): 53-60.
(ZOU Lei, XIA Jun, ZHANG Yin, et al. Spatial-temporal Change Characteristics and Driving Forces of Precipitation in the Haihe River Basin[J]. Water Resources Protection, 2021, 37(1): 53-60. (in Chinese))
[13]
PETTITT A N. A Non-parametric Approach to the Change-point Problem[J]. Applied Statistics, 1979, 28(2): 126.
[14]
ALEXANDERSSON H. A Homogeneity Test Applied to Precipitation Data[J]. Journal of Climatology, 1986, 6(6): 661-675.
[15]
BUISHAND T A. The Analysis of Homogeneity of Long-term Rainfall Records in the Netherlands[M]// The Neltherlands KNMI Scientific Report WR. De Bilt: Wetenschappelijke Publicatie, 1981: 46.
[16]
孙萧仲. 多供水需求下水库多年调节策略和hedging优化调度方法研究[D]. 天津: 天津大学, 2017.
(SUN Xiao-zhong. Study on Multi-year Regulation Strategy of Reservoir and Optimal Dispatching Method of Hedging under Multi-water Supply Demand[D]. Tianjin: Tianjin University, 2017. (in Chinese))
[17]
张洪波, 余荧皓, 南政年, 等. 基于TFPW-BS-Pettitt法的水文序列多点均值跳跃变异识别[J]. 水力发电学报, 2017, 36(7): 14-22.
(ZHANG Hong-bo, YU Ying-hao, NAN Zheng-nian, et al. TFPW-BS-Pettitt Method for Detection of Multiple Change-points in the Mean of Hydrological Series[J]. Journal of Hydroelectric Engineering, 2017, 36(7): 14-22. (in Chinese))
[18]
李明新, 吕孙云, 徐德龙. 汉江上游水资源量变化趋势分析[J]. 人民长江, 2008, 39(17):49-52.
(LI Ming-xin, Sun-yun, XU De-long. Trend Analysis of Water Resources in the Upper Reaches of Hanjiang River[J]. Yangtze River, 2008, 39(17): 49-52. (in Chinese))
[19]
李雅晴, 谢平, 桑燕芳, 等. 水文序列相依变异识别的RIC定阶准则: 以自回归模型为例[J]. 水利学报, 2019, 50(6): 721-731.
(LI Ya-qing, XIE Ping, SANG Yan-fang, et al. RIC Criterion for Identifying Dependent Variation of Hydrological Time Series: With a Case Study of Autoregressive Model[J]. Journal of Hydraulic Engineering, 2019, 50(6): 721-731. (in Chinese))
[20]
孙娜. 机器学习理论在径流智能预报中的应用研究[D]. 武汉: 华中科技大学, 2019.
(SUN Na. Research on Application of Machine Learning Theory in Runoff Intelligent Forecast[D]. Wuhan: Huazhong University of Science and Technology, 2019. (in Chinese))
[21]
陈媛, 王顺久, 王国庆, 等. 金沙江流域径流变化特性分析[J]. 高原山地气象研究, 2010, 30(2): 26-30.
(CHEN Yuan, WANG Shun-jiu, WANG Guo-qing, et al. Runoff Variation Characteristics Analysis on Jinsha River[J]. Plateau and Mountain Meteorology Research, 2010, 30(2): 26-30. (in Chinese))
PDF(7301 KB)

Accesses

Citation

Detail

Sections
Recommended

/

Baidu
map