Multi-objective Optimization of Flood Control Water Level Scheduling for Cascade Reservoirs in Yalong River Basin

HE Yan-feng, JIA Zi-hang, HUANG Kang-kang, ZHOU Yan-lai, CHEN Hua, GUO Sheng-lian

Journal of Changjiang River Scientific Research Institute ›› 2025, Vol. 42 ›› Issue (9) : 212-222.

PDF(8178 KB)
PDF(8178 KB)
Journal of Changjiang River Scientific Research Institute ›› 2025, Vol. 42 ›› Issue (9) : 212-222. DOI: 10.11988/ckyyb.20250149
Multi Objective Optimization Scheduling For Reservoir Groups

Multi-objective Optimization of Flood Control Water Level Scheduling for Cascade Reservoirs in Yalong River Basin

Author information +
History +

Abstract

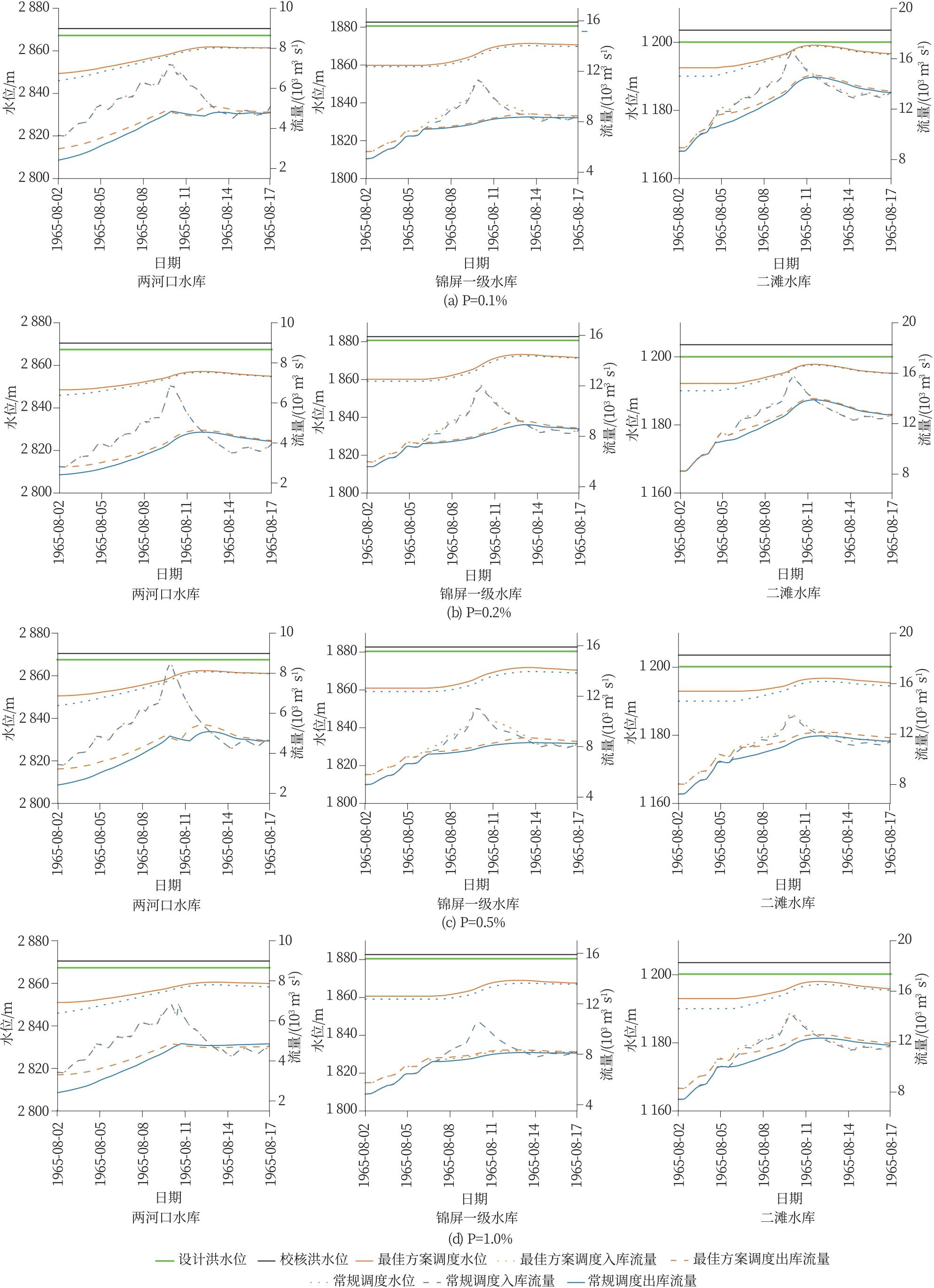
[Objective] Optimizing the scheduling of flood control water levels in reservoirs has become a key technical approach to cope with extreme flood and drought disasters. Focusing on the challenges of unclear allocation efficiency of reservoir capacity and hierarchical scheduling of water levels for flood control in the cascade reservoirs of the Yalong River Basin, we established a multi-objective scheduling model for flood control water levels of cascade reservoirs, aiming to achieve coordinated scheduling of both flood control and beneficial utilization goals. [Methods] The study focused on three key control reservoirs—Lianghekou, Jinping I, and Ertan—in the Yalong River Basin, and used flood hydrographs derived from typical flood events in 1965 and 2000 under different design frequencies (P=1%, 0.5%, 0.2%, and 0.1%) as input data. The objective functions of the proposed model include: minimizing the peak discharge at the outlet cross-section, minimizing the water level at the end of the scheduling period, minimizing the highest water level during the scheduling period, and minimizing the total utilized flood control reservoir capacity, while considering constraints such as water balance, discharge capacity, and upper and lower water level limits. The model was solved using the Non-dominated Sorting Genetic Algorithm II (NSGA-II) to generate the Pareto solution set, and the entropy-weighted VIKOR method (EMW-VIKOR) was used to rank and select the optimal scheduling schemes. [Results] (1) Significant trade-off among the objectives existed. The peak flood discharge at the outlet cross-section of the river basin showed a clear competitive relationship with the water level recovery rate of upstream reservoirs at the end of the scheduling period, the maximum water level during the scheduling period, and the total utilized flood control reservoir capacity. Analysis of flood control reservoir capacity allocation indicated that as the flood magnitude increased, the allocated flood control capacity of Jinping I increased, the total utilized flood control capacity of cascade reservoirs decreased, and the peak discharge affecting downstream protected areas decreased. (2) The optimal flood control water level schemes were obtained after comparison and selection. For Lianghekou Reservoir, the flood control water level could be raised from 2 845.9 m to 2 848.44-2 850.88 m, an increase of 2.5-5 m. For Jinping I Reservoir, from 1 859.06 m to 1 859.76-1 860.83 m, an increase of 0.7-1.8 m. The flood control water level of Ertan Reservoir could be raised from 1 190 m to 1 192.13-1 192.96 m, an increase of 2-3 m. (3) The optimized scheduling schemes demonstrated significant comprehensive benefits. Compared with conventional scheduling schemes, the error in reservoir water level recovery rate at the end of the scheduling period was less than 0.5% under different design frequencies. The highest water level indicator approached 1 (e.g., 0.997 9 at P=0.1%) without exceeding flood control upper limits. The utilized flood control reservoir capacity was reduced by 300 million m3 or more, including a reduction of 566 million m3 under the design frequency of P=1%. Taking the flood event on July 29, 2024 as an example, the optimal scheme increased power generation by 255 million kW·h (an improvement rate of 9.7%) compared with the actual scheduling, while achieving a lower peak flood control water level and a water level recovery rate of 100% at the end of the flood season, demonstrating significant improvements in both flood control and beneficial utilization. [Conclusion] This study proposes a multi-objective optimization model for flood control water level scheduling in cascade reservoirs, reveals the allocation efficiency of flood control reservoir capacity, and provides a multi-objective coordinated scheduling scheme for flood control water levels of cascade reservoirs. The findings provide technical support for floodwater resource scheduling of cascade reservoirs in the Yalong River Basin and enhance the utilization level of water resources in the river basin.

Key words

cascade reservoirs / flood control scheduling / flood control water level / multi-objective optimization / Yalong River Basin

Cite this article

Download Citations
HE Yan-feng , JIA Zi-hang , HUANG Kang-kang , et al . Multi-objective Optimization of Flood Control Water Level Scheduling for Cascade Reservoirs in Yalong River Basin[J]. Journal of Changjiang River Scientific Research Institute. 2025, 42(9): 212-222 https://doi.org/10.11988/ckyyb.20250149

References

[1]
程晓陶, 刘昌军, 李昌志, 等. 变化环境下洪涝风险演变特征与城市韧性提升策略[J]. 水利学报, 2022, 53(7):757-768,778.
(CHENG Xiao-tao, LIU Chang-jun, LI Chang-zhi, et al. Evolution Characteristics of Flood Risk under Changing Environment and Strategy of Urban Resilience Improvement[J]. Journal of Hydraulic Engineering, 2022, 53(7):757-768,778. (in Chinese))
[2]
汪涛, 徐杨, 刘亚新, 等. 基于多种群引力粒子群算法的金沙江下游—三峡梯级水库群优化调度[J]. raybet体育在线 院报, 2023, 40(12): 30-36, 58.
Abstract
金沙江下游—三峡已形成六库联合调度格局,调度维数增多,约束庞杂交织,优化目标多样,给调度方案制定带来极大困难。针对传统粒子群算法求解调度模型寻优能力不足的难题,提出多种群引力粒子群算法,建立优化调度模型并应用改进算法求解。算法测试和应用结果表明,多种群引力粒子群算法寻优性能更加先进,更适用于求解梯级水库优化调度问题。实例表明,上游龙头电站通过减少自身发电量可以使下游电站和梯级发电量增加。
(WANG Tao, XU Yang, LIU Ya-xin, et al. Optimal Operation of Cascade Reservoirs in the Lower Reaches of Jinsha River to the Three Gorges Based on Multi-group Gravitational Particle Swarm Algorithm[J]. Journal of Changjiang River Scientific Research Institute, 2023, 40(12): 30-36, 58. (in Chinese))
[3]
郭生练, 刘攀, 王俊, 等. 再论水库汛期水位动态控制的必要性和可行性[J]. 水利学报, 2023, 54(1):1-12.
(GUO Sheng-lian, LIU Pan, WANG Jun, et al. Revisiting Necessity and Feasibility for Dynamic Control of Reservoir Water Level during Flood Season[J]. Journal of Hydraulic Engineering, 2023, 54(1): 1-12. (in Chinese))
[4]
冯佳宁, 李晓英, 张琰, 等. 基于系统协调度模型的汛限水位分期控制[J]. raybet体育在线 院报, 2024, 41(1):9-17.
(FENG Jia-ning, LI Xiao-ying, ZHANG Yan, et al. Staged Control of Flood Limit Water Level Based on System Coordination Degree Model[J]. Journal of Changjiang River Scientific Research Institute, 2024, 41(1): 9-17. (in Chinese))
[5]
周研来, 宁志昊, 何鋆涛. 面向碳减排的梯级水库蓄水期水碳多目标优化调度研究[J]. raybet体育在线 院报, 2025, 42(6):194-202.
Abstract
考虑到当前梯级水库蓄水调度研究尚未开展碳减排调度,基于碳排放因子法提出了梯级水库蓄水期水碳多目标调度模型,制定了梯级水库提前蓄水策略,并以防洪风险最小化、发电量最大化和温室气体排放量最小化为调度目标,采用NSGA-II求解调度模型推求了梯级水库蓄水期优化调度方案,在金沙江中下游6座水库与三峡水库组成的梯级水库开展了实例研究。结果表明:相较于现行调度方案,优化调度方案集在防洪库容占用率为0~4.92%的情况下,发电量提升了7.23~40.26亿kW·h/a(0.65%~3.60%),弃水量减少了15.82~55.03亿m<sup>3</sup>/a(6.45%~22.43%),温室气体排放量降低了38.55~45.63 Gg CO<sub>2e</sub>/a(8.33%~9.85%),碳排放强度降低了0.39~0.47 kg CO<sub>2e</sub>/(MW·h)(9.49%~11.44%),显著提升了梯级水库的发电量、抗旱供水能力并减少了温室气体排放。研究成果为实现梯级水库蓄水期水碳协同调度提供了技术支撑。
(ZHOU Yan-lai, NING Zhi-hao, HE Jun-tao. Multi-objective Optimal Scheduling of Water-Carbon in Cascade Reservoirs during Impoundment for Carbon Emission Reduction[J]. Journal of Changjiang River Scientific Research Institute, 2025, 42(6):194-202. (in Chinese))
[6]
刘攀, 郭生练, 李玮, 等. 用多目标遗传算法优化设计水库分期汛限水位[J]. 系统工程理论与实践, 2007, 27(4):81-90.
(LIU Pan, GUO Sheng-lian, LI Wei, et al. Optimal Design of Reservoir Seasonal Flood Control Level by Using Multi-objective Genetic Algorithm[J]. Systems Engineering-Theory & Practice, 2007, 27(4): 81-90. (in Chinese))
[7]
余玉聪, 李雯晴, 刘招, 等. 金沙江下游梯级水库汛期分期及汛限水位合理性研究[J]. raybet体育在线 院报, 2020, 37(9): 39-44.
Abstract
汛期分期以及分期汛限水位的合理确定,能够较好地协调水库防洪效益与发电效益之间的矛盾,对充分发挥水库的防洪、发电能力,以及提高汛期洪水资源利用率具有重要意义。基于改进的模糊集分析方法并依据金沙江下游乌东德、白鹤滩、溪洛渡、向家坝4个梯级水库入库洪水对其汛期进行分期,通过隶属度与防洪库容的映射关系确定梯级水库分期汛限水位,提出利用跨期选样法对分期结果及汛限水位进行修正。研究结果表明:金沙江下游梯级水库前汛期为6月1日—7月14日,主汛期为7月15日—9月16日,后汛期为9月17日—10月24日,4个梯级水库合理汛限水位分别为962,800,575,374 m。通过不同典型洪水放大的洪水过程检验了分期汛限水位的合理性。研究得到的金沙江下游梯级分期结果及各库分期汛限水位,均能够在满足防洪安全的前提下提高水库发电等经济效益,在一定程度上提高了汛期洪水资源的利用率。
(YU Yu-cong, LI Wen-qing, LIU Zhao, et al. Rational Flood Season Staging and Limit Flood Levels of Cascade Reservoirs in Downstream Jinsha River[J]. Journal of Yangtze River Scientific Research Institute, 2020, 37(9): 39-44. (in Chinese))
Determining flood season stages and corresponding water levels in flood season stages rationally could help coordinate the contradiction between flood control benefit and power generation benefit of reservoirs, and is also of great significance to give full play to flood control and power generation capacity of reservoirs and improve the utilization rate of flood resources in flood season. In this paper, the flood season of cascade reservoirs(Wudongde,Baihetan,Xiluodu,and Xiangjiaba) in the lower reaches of Jinsha River is divided into stages according to the incoming flood using the improved fuzzy set analysis method, and the staged limit water level of cascade reservoirs is determined through the mapping relationship between membership degree and flood control capacity. The stages and corresponding limit flood levels are revised with intertemporal sampling method. Research results reveal that the pre-flood season of cascade reservoirs in the lower reaches of Jinsha River is July 1-July 14, main flood season July 15-September 16, and post-flood season September 17-October 24. The reasonable limit flood level for the four reservoirs is 962 m, 800 m, 575 m and 374 m, respectively. The staged limit flood levels are verified through the flood process of different typical floods. The staging results obtained in this study and the phased limit flood level of each reservoir could improve the economic benefits of reservoirs' power generation under the premise of flood control safety, and enhance the utilization rate of flood resources in flood season.
[8]
郭生练, 熊丰, 王俊, 等. 三峡水库运行期设计洪水及汛控水位初探[J]. 水利学报, 2019, 50(11): 1311-1317, 1325.
(GUO Sheng-lian, XIONG Feng, WANG Jun, et al. Preliminary Exploration of Design Flood and Control Water Level of Three Gorges Reservoir in Operation Period[J]. Journal of Hydraulic Engineering, 2019, 50(11): 1311-1317, 1325. (in Chinese))
[9]
朱迪, 周研来, 陈华, 等. 考虑分级防洪目标的梯级水库汛控水位调度模型及应用[J]. 水利学报, 2023, 54(4): 414-425.
(ZHU Di, ZHOU Yan-lai, CHEN Hua, et al. An Operation Model of Flood Control Water Levels of Cascade Reservoirs Considering Grading Flood Control Objectives and Its Application[J]. Journal of Hydraulic Engineering, 2023, 54(4): 414-425. (in Chinese))
[10]
郭生练, 王俊, 谢雨祚, 等. 面向新时期新需求的三峡水库运行方案研究[J]. 水利学报, 2024, 55(4):379-388.
(GUO Sheng-lian, WANG Jun, XIE Yu-zuo, et al. Three Gorges Reservoir Operation Scheme Facing the New Era and New Demands[J]. Journal of Hydraulic Engineering, 2024, 55(4): 379-388. (in Chinese))
[11]
谢雨祚, 熊丰, 郭生练, 等. 金沙江下游梯级与三峡水库防洪库容互补等效关系研究[J]. 水利学报, 2023, 54(2): 139-147.
(XIE Yu-zuo, XIONG Feng, GUO Sheng-lian, et al. Complementary and Equivalent Relationship between the Reservoir Flood Prevention Storages of Cascade Reservoirs in the Downstream Jinsha River and Three Gorges[J]. Journal of Hydraulic Engineering, 2023, 54(2): 139-147. (in Chinese))
[12]
邹强, 丁毅, 肖扬帆, 等. 以三峡为核心的长江上游水库群防洪优化调度策略[J]. 人民长江, 2023, 54(12):8-14.
(ZOU Qiang, DING Yi, XIAO Yang-fan, et al. Optimal Operation Strategies for Joint Flood Control of Reservoirs in Upper Reaches of Changjiang River with Three Gorges Reservoir as a Core[J]. Yangtze River, 2023, 54(12): 8-14. (in Chinese))
[13]
ZHANG W, LIU P, CHEN X Z, et al. Optimal Operation of Multi-reservoir Systems Considering Time-lags of Flood Routing[J]. Water Resources Management, 2016, 30(2): 523-540.
[14]
张海荣, 姚华明, 汤正阳, 等. 雅砻江和金沙江中下游梯级水库联合优化调度建模及应用Ⅱ: 联合优化调度规则分析[J]. raybet体育在线 院报, 2022, 39(9): 38-42, 55.
Abstract
为提升长江上游水资源利用效率,在“雅砻江和金沙江中下游梯级水库联合优化调度建模及应用Ⅰ—联合优化调度潜力分析”的基础上,进一步探究了雅砻江和金沙江中下游梯级上下游水库间和不同梯级间的运行规律,绘制了联合优化调度图,并分析了相关电站的蓄放水次序。研究表明:汛前金中、雅砻江梯级水库与金下梯级各水库消落开始次序宜为两河口—龙盘—锦屏一级—二滩—向家坝—白鹤滩—溪洛渡—乌东德,总体消落思路为上游水库优先消落,尽可能的保持下游溪洛渡、乌东德等电站高水位运行,提高流域整体发电效益;汛末各水库蓄水开始次序宜为锦屏一级—龙盘/二滩—两河口—乌东德—白鹤滩/溪洛渡—向家坝,总体蓄水思路为上游水库优先释放防洪库容开始蓄水,减轻下游防洪压力,且来水偏丰年份的蓄水时间相应有所推迟。
(ZHANG Hai-rong, YAO Hua-ming, TANG Zheng-yang, et al. Modeling and Application of Joint Optimal Scheduling of Cascade Reservoirs on Yalong River and the Middle and Downstream of Jinsha River Ⅱ: Joint Optimal Dispatch Rules[J]. Journal of Yangtze River Scientific Research Institute, 2022, 39(9): 38-42, 55. (in Chinese))
On the basis of our previous potential analysis, we further probed into the operation rules between different reservoirs and different cascades, gave the joint optimal scheduling diagram, and analyzed the sequences of water impoundment and discharging of involved power stations to improve the utilization efficiency of water resources. Results demonstrate that the release sequence of the reservoirs before flood season should be: Lianghekou-Longpan-Jinping I-Ertan-Xiangjiaba-Baihetan-Xiluodu-Wudongde. The overall water releasing idea is to give priority to the upstream reservoirs and keep the downstream power stations such as Xiluodu and Wudongde operating at high water level as far as possible to improve the overall power generation efficiency of the basin. The order of water storage in the reservoirs at the end of flood season should be: Jinping I-Longpan/Ertan-Lianghekou-Wudongde-Baihetan/Xiluodu-Xiangjiaba. The overall water storage idea is to release the flood control capacity of the upstream reservoirs to start storage on a priority basis so as to alleviate the flood control pressure in the downstream, and the storage in wet years should be delayed accordingly.
[15]
俞雷, 贾本有, 吴时强, 等. 雅砻江流域典型年天然径流量时空分布特征[J]. 南水北调与水利科技(中英文), 2020, 18(3): 73-80, 141.
(YU Lei, JIA Ben-you, WU Shi-qiang, et al. Spatiotemporal Distribution Characteristics of Typical Annual Natural Runoff in the Yalong River Basin[J]. South-to-North Water Transfers and Water Science & Technology, 2020, 18(3): 73-80, 141. (in Chinese))
[16]
周博, 李治军. 基于熵权-VIKOR模型的吉林省水资源承载力及耦合协调分析[J]. 吉林水利, 2024(5):1-6.
(ZHOU Bo, LI Zhi-jun. Analysis of Water Resources Carrying Capacity and Coupling Coordination in Jilin Province Based on Entropy Weight-VIKOR Model[J]. Jilin Water Resources, 2024(5): 1-6. (in Chinese))
PDF(8178 KB)

Accesses

Citation

Detail

Sections
Recommended

/

Baidu
map