Response Relationship Between Runoff and Meteorological Drought and Flood Characteristics in Jialing River Basin

LI Wen-hui, ZHANG Yang, CAO Hui, XING Long, REN Yu-feng, ZHAI Shao-jun, MA Yi-ming, LI Wen-da

Journal of Changjiang River Scientific Research Institute ›› 2025, Vol. 42 ›› Issue (8) : 53-60.

PDF(7046 KB)
PDF(7046 KB)
Journal of Changjiang River Scientific Research Institute ›› 2025, Vol. 42 ›› Issue (8) : 53-60. DOI: 10.11988/ckyyb.20240612
Water Resources

Response Relationship Between Runoff and Meteorological Drought and Flood Characteristics in Jialing River Basin

Author information +
History +

Abstract

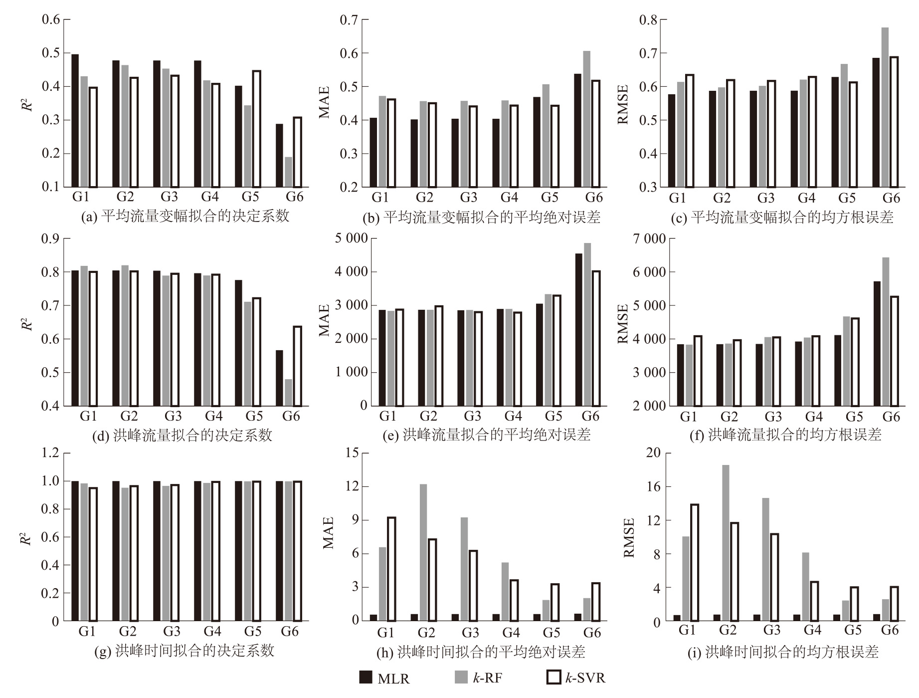
[Objective] Most existing studies on the response relationship between runoff variations and meteorological drought and flood characteristics focus on annual, seasonal, monthly, or weekly scales. This study aims to clarify the quantitative response relationship between meteorological drought and flood characteristics at the daily scale and runoff in the Jialing River Basin, and to effectively evaluate the impact of extreme meteorological drought and flood events on the flow process. [Methods] Based on long-term daily precipitation and flow data from 1989 to 2022, this study employed the SWAP index method and run theory to identify meteorological drought and flood events at the daily scale in the Jialing River Basin. Traditional multiple regression and emerging machine learning models were compared to simulate the internal relationship between meteorological drought and flood characteristics and flow change, revealing the response of runoff variation to drought and flood characteristics. [Results] The results showed that from 1989 to 2022, a total of 68 meteorological drought events occurred in the Jialing River Basin, leading to an average reduction of 48.25% in flow at the Beibei station. Compared to drought duration and intensity, the timing of drought events had a more significant impact on runoff variation and was the primary controlling factor influencing runoff variation. The support vector regression model considering only this factor could more accurately evaluate the change rate of flow caused by drought. During the same period, 40 meteorological flood events occurred in the Jialing River Basin, leading to an average increase of 130.46% in flow at the Beibei station. The accumulated precipitation before the flood peak had the greatest impact on the change rate of flow, and the timing of maximum precipitation before the flood peak had the greatest impact on the timing of flood peak. Multiple regression models were recommended to evaluate the response relationships between flood characteristic factors and the change rate of flow, as well as the timing of flood peak. To evaluate the impact of flood events on peak flow, the random forest model was recommended. The accumulated precipitation before the flood peak was the primary controlling factor influencing peak flow variation. [Conclusion] This study innovatively explores the response relationship between meteorological drought and flood characteristics at the daily scale and runoff variation in the river basin. The findings indicate that emerging machine learning models, such as support vector machines and random forests, can effectively simulate the complex mechanisms through which meteorological drought and flood events affect runoff in the river basin. This has significant implications for the scientific evaluation and prediction of the impact of extreme climate events on runoff characteristics.

Key words

meteorological drought and flood / daily scale / multiple regression model / runoff / response relationship / Jialing River Basin

Cite this article

Download Citations
LI Wen-hui , ZHANG Yang , CAO Hui , et al . Response Relationship Between Runoff and Meteorological Drought and Flood Characteristics in Jialing River Basin[J]. Journal of Changjiang River Scientific Research Institute. 2025, 42(8): 53-60 https://doi.org/10.11988/ckyyb.20240612

References

[1]
MA F, YE A, YOU J, et al. 2015-16 Floods and Droughts in China, and Its Response to the Strong El Niño[J]. Science of the Total Environment, 2018, 627: 1473-1484.
[2]
CHRISTIAN J I, BASARA J B, HUNT E D, et al. Global Distribution, Trends, and Drivers of Flash Drought Occurrence[J]. Nature Communications, 2021, 12(1): 6330.
Flash drought is characterized by a period of rapid drought intensification with impacts on agriculture, water resources, ecosystems, and the human environment. Addressing these challenges requires a fundamental understanding of flash drought occurrence. This study identifies global hotspots for flash drought from 1980-2015 via anomalies in evaporative stress and the standardized evaporative stress ratio. Flash drought hotspots exist over Brazil, the Sahel, the Great Rift Valley, and India, with notable local hotspots over the central United States, southwestern Russia, and northeastern China. Six of the fifteen study regions experienced a statistically significant increase in flash drought during 1980-2015. In contrast, three study regions witnessed a significant decline in flash drought frequency. Finally, the results illustrate that multiple pathways of research are needed to further our understanding of the regional drivers of flash drought and the complex interactions between flash drought and socioeconomic impacts.© 2021. The Author(s).
[3]
刘喆, 王飞, 韩钦梅, 等. 2022年长江上游流域严重干旱对三峡水电站水力发电的影响分析[J]. 气候变化研究进展, 2024, 20(1): 37-47.
(LIU Zhe, WANG Fei, HAN Qin-mei, et al. Analysis of the Impact of Severe Drought in the Upper Yangtze River Basin on the Hydroelectricity Production of the Three Gorges Hydropower Station in 2022[J]. Climate Change Research, 2024, 20(1): 37-47.(in Chinese))
[4]
李喆, 向大享, 陈喆, 等. 数字孪生驱动的长江流域干旱防御平台设计与开发[J]. raybet体育在线 院报, 2024, 41(8): 180-188.
Abstract
在全球气候变化的背景下,长江流域发生了多次严重的高温干旱灾害,流域抗旱管理面临着旱情监测告警效率较低、旱灾预报预警精度不高、抗旱预案推演能力不足等瓶颈,迫切需要开展数字化转型。从长江流域抗旱减灾业务管理和“四预”应用需求出发,基于智慧水利和数字孪生建设的总体要求,综合运用WebGL、GIS等技术,建立了干旱防御数字孪生平台,研发了遥感干旱监测评估、干旱专业模型动态加载、旱警水位超限预警、抗旱预案可视化等关键技术,初步实现了“预报-预警-预演-预案”全链条贯通业务应用,切实提升了长江流域抗旱管理智能化、精细化水平,为流域干旱防灾减灾提供了技术支撑。
(LI Zhe, XIANG Da-xiang, CHEN Zhe, et al. Design and Development of Drought Defense Information Platform for the Changjiang River Basin Driven by Digital Twins[J]. Journal of Changjiang River Scientific Research Institute, 2024, 41(8): 180-188.(in Chinese))
[5]
YU J, ZOU L, XIA J, et al. Future Changes in Hydrological Drought across the Yangtze River Basin: Identification, Spatial-Temporal Characteristics, and Concurrent Probability[J]. Journal of Hydrology, 2023, 625: 130057.
[6]
FANG J, KONG F, FANG J, et al. Observed Changes in Hydrological Extremes and Flood Disaster in Yangtze River Basin: Spatial-Temporal Variability and Climate Change Impacts[J]. Natural Hazards, 2018, 93(1):89-107.
[7]
杨肖丽, 崔周宇, 任立良, 等. 1966—2015年长江流域水文干旱时空演变归因[J]. 水科学进展, 2023, 34(3):349-359.
(YANG Xiao-li, CUI Zhou-yu, REN Li-liang, et al. Patterns and Attributions of Hydrological Drought in the Yangtze River Basin from 1966 to 2015[J]. Advances in Water Science, 2023, 34(3): 349-359.(in Chinese))
[8]
叶许春, 袁燕萍, 刘婷婷, 等. 鄱阳湖流域气象干旱的区域性特征及干旱过程演变[J]. raybet体育在线 院报, 2024, 41(9):19-26.
Abstract
基于1960—2020年鄱阳湖流域及周边29个国家气象站的连续观测资料,通过计算标准化降水蒸发指数(SPEI)并结合游程理论,研究分析了气象干旱的区域性特征及干旱过程演变。结果表明:①鄱阳湖流域月尺度气象干旱的发生频率为31.7%~34.8%,不同等级干旱发生频率的空间格局差异明显;②春、秋季节流域尺度SPEI呈现微弱下降趋势,干旱影响范围呈不显著的增加趋势,夏、冬季节情况与此相反;③就干旱区域性特征而言,鄱阳湖流域季节性气象干旱以全流域性干旱和局域性干旱为主(发生频率分别为29.5%和23.4%),区域性干旱和部分区域性干旱的发生频率(分别为10.7%和5.7%)相对较低;④游程理论揭示在过去的61 a间共发生50次流域尺度气象干旱事件,干旱事件的发生频次随干旱历时的增加显著减少,其中干旱历时最长的可达49个月;⑤流域尺度气象干旱事件的历时、峰值烈度以及总烈度的演变呈现较强的年代际波动特征;⑥干旱历时与总烈度之间存在显著的线性关系,与峰值烈度之间存在显著的幂函数关系,与平均烈度之间的相关关系不明显。这些研究结果明晰了鄱阳湖流域气象干旱的区域性特征与干旱过程演变,为合理开展流域气象干旱影响评估和制定防范策略提供科学依据。
(YE Xu-chun, YUAN Yan-ping, LIU Ting-ting, et al. Regional Characteristics and Process Evolution of Meteorological Drought in Poyang Lake Basin[J]. Journal of Changjiang River Scientific Research Institute, 2024, 41(9):19-26.(in Chinese))
[9]
LI X, YE X, LI Z, et al. Hydrological Drought in Two Largest River-connecting Lakes in the Middle Reaches of the Yangtze River, China[J]. Hydrology Research, 2023, 54(1): 82-98.
[10]
YANG P, ZHANG S, XIA J, et al. Analysis of Drought and Flood Alternation and Its Driving Factors in the Yangtze River Basin under Climate Change[J]. Atmospheric Research, 2022, 270: 106087.
[11]
熊立华, 李姝仪, 查悉妮. 基于多源数据的长江流域1982—2022年骤旱事件时空演变[J]. 水科学进展, 2024, 35(1): 24-37.
(XIONG Li-hua, LI Shu-yi, ZHA Xi-ni. Temporal and Spatial Evolution of Flash Drought Events in the Yangtze River Basin from 1982 to 2022 Based on Multi- Source Data[J]. Advances in Water Science, 2024, 35(1): 24-37.(in Chinese))
[12]
段欣妤, 张强, 张良, 等. 2022年长江流域重大干旱发展过程中西太平洋副热带高压的多维度异常特征[J]. 科学通报, 2024(15):2081-2092.
(DUAN Xin-yu, ZHANG Qiang, ZHANG Liang, et al. The Multi-dimensional Anomaly Characteristics of the Western Pacific Subtropical High During the Development of the 2022 Major Drought in the Yangtze River Basin[J]. Chinese Science Bulletin, 2024(15):2081-2092.(in Chinese))
[13]
郝增超, 张璇, 郝芳华, 等. 2022年夏季长江流域复合高温干旱事件的影响及应对[J]. 水资源保护, 2023, 39(6):46-52.
(HAO Zeng-chao, ZHANG Xuan, HAO Fang-hua, et al. Impacts and Coping Strategies of Compound Hot Extremes and Droughts during Summer of 2022 in the Yangtze River Basin[J]. Water Resources Protection, 2023, 39(6):46-52.(in Chinese))
[14]
XU G, WU Y, LIU S, et al. How 2022 Extreme Drought Influences the Spatiotemporal Variations of Terrestrial Water Storage in the Yangtze River Catchment: Insights from GRACE-based Drought Severity Index and In-situ Measurements[J]. Journal of Hydrology, 2023,626:130245.
[15]
董蓉蓉, 粟晓玲, 屈艳萍, 等. 2022年长江流域不同类型干旱的时空响应关系[J]. 水资源保护, 2024, 40(3):61-70.
(DONG Rong-rong, SU Xiao-ling, QU Yan-ping, et al. Spatiotemporal Response Characteristics of Different Types of Droughts in the Yangtze River Basin in 2022[J]. Water Resources Protection, 2024, 40(3):61-70.(in Chinese))
[16]
杨少康, 刘冀, 张特, 等. 汉江上游气象-水文干旱特征变量响应概率研究[J]. 水资源保护, 2023, 39(5):143-151.
(YANG Shao-kang, LIU Ji, ZHANG Te, et al. Study on Meteorological-hydrological Drought Characteristic Variable Response Probability in Upper Reaches of the Hanjiang River Basin[J]. Water Resources Protection, 2023, 39(5): 143-151.(in Chinese))
[17]
隆院男, 黄崇荣, 李正最, 等. 基于Copula函数的湘江流域气象干旱向水文干旱传播特性[J]. 农业工程学报, 2023, 39(21): 66-78.
(LONG Yuan-nan, HUANG Chong-rong, LI Zheng-zui, et al. Characteristics of the Transmission from Meteorological Drought to Hydrological Drought in the Xiangjiang River Basin of China Using Copula Function[J]. Transactions of the Chinese Society of Agricultural Engineering, 2023, 39(21): 66-78.(in Chinese))
[18]
郑金丽, 周祖昊, 刘佳嘉, 等. 抚河流域气象干旱向水文干旱传播的影响机制研究[J]. 水资源与水工程学报, 2023, 34(6):27-34.
(ZHENG Jin-li, ZHOU Zu-hao, LIU Jia-jia, et al. Influencing Mechanism of Meteorological Drought to Hydrological Drought Propagation in the Fuhe River Basin[J]. Journal of Water Resources and Water Engineering, 2023, 34(6): 27-34.(in Chinese))
[19]
刘吉峰, 靳莉君, 张永生. 近60年渭河流域极端降水和洪水演变特征[J]. 山地学报, 2023, 41(2):192-203.
(LIU Ji-feng, JIN Li-jun, ZHANG Yong-sheng. Evolution Characteristics of Extreme Precipitation and Flood in the Weihe River Basin of China over Last 60 Years[J]. Mountain Research, 2023, 41(2): 192-203.(in Chinese))
[20]
高爽, 遆超普, 汤水荣, 等. 长江流域径流模拟及其对极端降雨的响应[J]. 环境科学, 2023, 44(9):4853-4862.
(GAO Shuang, TI Chao-pu, TANG Shui-rong, et al. Runoff Simulation and Its Response to Extreme Precipitation in the Yangtze River Basin[J]. Environmental Science, 2023, 44(9): 4853-4862.(in Chinese))
[21]
谢志高, 贾文豪, 王霞雨, 等. 西江流域极端降水演变规律及其对洪水径流的影响[J]. 水利水电科技进展, 2023, 43(6):128-136.
(XIE Zhi-gao, JIA Wen-hao, WANG Xia-yu, et al. Evolution Characteristics of Extreme Rainfall and Influence on Flood Runoff in Xijiang River Basin[J]. Advances in Science and Technology of Water Resources, 2023, 43(6): 128-136.(in Chinese))
[22]
邹睿, 尹义星, 王小军, 等. 鄱阳湖流域气象干旱向水文干旱传递的时间特征研究[J]. 水文, 2024(4):69-76,88.
(ZOU Rui, YIN Yi-xing, WANG Xiao-jun, et al. Study on the Temporal Characteristics of Meteorological Drought to Hydrological Drought Propagation in the Poyang Lake Basin[J]. Journal of China Hydrology, 2024(4):69-76,88.(in Chinese))
[23]
李帅, 曾凌, 熊斌, 等. 长江上游近61年来水文干旱演变特征及归因[J]. 水力发电学报, 2024, 43(2):33-45.
(LI Shuai, ZENG Ling, XIONG Bin, et al. Evolution and Attribution of Hydrological Drought in Upper Yangtze River Basin over the Last 61 Years[J]. Journal of Hydroelectric Engineering, 2024, 43(2): 33-45.(in Chinese))
[24]
杨家伟, 陈华, 侯雨坤, 等. 基于气象旱涝指数的旱涝急转事件识别方法[J]. 地理学报, 2019, 74(11):2358-2370.
Abstract
基于长江流域212个气象站点1961-2017年的日降水资料,借助标准化加权平均降水指数(SWAP),结合多门槛游程理论,提出一种识别旱涝急转事件的新方法。方法应用于旱涝急转事件高发的长江流域,分别从典型站点旱涝事件分析、区域典型旱涝急转事件分析、旱涝急转事件时空分布规律分析等角度,探讨了长江流域1961-2017年旱涝急转事件规律。结论显示:①SWAP指数对于旱涝事件具有良好的识别能力。②聚类方法可聚合相似旱涝急转事件,2011年长江中下游旱涝急转事件中干旱事件占主导地位,持续时间远长于洪涝事件。③ 长江流域旱涝急转事件呈现明显的区域规律:上游发生频率较低,中下游偏高;此外,长江流域多数分区近期旱涝急转事件发生频率呈现上升趋势。研究结果表明,基于SWAP指数并结合多门槛游程理论的方法能够比较准确地识别旱涝急转事件,可进一步应用于旱涝急转事件的预测及评估中。
(YANG Jia-wei, CHEN Hua, HOU Yu-kun, et al. A Method to Identify the Drought-flood Transition Based on the Meteorological Drought Index[J]. Acta Geographica Sinica, 2019, 74(11): 2358-2370.(in Chinese))

A new method was proposed to identify drought-flood transition events by combining a drought-flood index (Standard Weighted Average Precipitation, SWAP) with the multi-threshold theory. This method was tested in the Yangtze River Basin using daily precipitation data from 212 stations for the 1961-2017 period. With this method, the meteorological drought and rainstorm flood in the representative station were identified, and representative regional drought-flood transition events and spatiotemporal patterns of drought-flood transition were analyzed. The results show that: SWAP is an effective index to identify the meteorological drought and rainstorm flood. K-means clustering can classify similar drought-flood transition events into one cluster. The drought event plays a dominate role in drought-flood transition events for the middle and lower reaches of the Yangtze River Basin in 2011, and the drought lasts for a much longer duration than the flood during the drought-flood transition event. Drought-flood transition events show an obvious regional pattern for the Yangtze River Basin with low frequency for the upper reaches and high frequency for the middle and lower reaches. In addition, the drought-flood transition frequency presents an increasing trend recently for most parts of the Yangtze River Basin. Overall, the results imply that the proposed method combining meteorological drought index with multi-threshold theory is capable of identifying drought-flood transition events, and can be further used for predicting drought-flood transition events.

[25]
梁曼琳, 刘丙军, 李旦. 珠江流域旱涝急转事件识别指数优选研究[J]. 自然灾害学报, 2022, 31(4):57-64.
(LIANG Man-lin, LIU Bing-jun, LI Dan. Optimization of Identification Index for Drought-flood Abrupt Alternation Events in the Pearl River Basin[J]. Journal of Natural Disasters, 2022, 31(4): 57-64.(in Chinese))
[26]
裴泽华, 葛淼, 李浩, 等. 基于随机森林模型的中国中老年人群HDL-C环境影响因素研究[J]. 地球信息科学学报, 2022, 24(7):1286-1300.
Abstract
高密度脂蛋白胆固醇(HDL-C)可以有效促进人体内胆固醇的代谢外排,其水平的高低与患心血管疾病的风险呈负相关关系,是心血管疾病的预防与保护因素。厘清我国中老年人群HDL-C水平的地理分异特征及环境影响因素,对我国心血管疾病防治工作的开展有重要意义。论文基于中国中老年人纵向追踪调查,利用全局空间自相关、冷热点分析等方法阐释中国中老年人群HDL-C水平的空间分异特征及变化趋势,同时对比引入随机森林回归模型及多元线性回归方法探讨HDL-C水平空间分布的环境影响因素及其指示作用。结果表明:中国中老年人群HDL-C水平表现为女性高于男性、农村高于城镇,具有明显的地域差异性,整体呈现出&#x0201c;北低南高,中间过渡&#x0201d;的分布格局,且北方出现了以内蒙古、河北、辽宁为代表的低值聚集区,南方出现了以广东、广西、云南为代表的高值聚集区;SO<sub>2</sub>、NO<sub>2</sub>、降水、气压、PM<sub>10</sub>和PM<sub>2.5</sub>是影响中老年人群HDL-C水平差异分布的主要环境因素,其中高浓度的空气污染物是造成HDL-C值较低的危险因素,充沛的降水和低压环境是防治HDL-C值较低的保护因素。因此,今后关于HDL-C血脂异常防控工作在全国各地应注重其空间分布规律,重点加强对HDL-C低值区的监测,以达到因地制宜、精准防控的目的。
(PEI Ze-hua, GE Miao, LI Hao, et al. Environmental Factors Influencing HDL-C in Middle-aged and Elderly Chinese Population Based on Random Forest Model[J]. Journal of Geo-Information Science, 2022, 24(7): 1286-1300.(in Chinese))
PDF(7046 KB)

Accesses

Citation

Detail

Sections
Recommended

/

Baidu
map