Experimental Study on Hydraulic Characteristics of Fish-friendly Culverts with Baffles

MAO Jing-qiao, LU Peng, GONG Yi-qing, GAO Huan, DAI Jie

Journal of Changjiang River Scientific Research Institute ›› 2025, Vol. 42 ›› Issue (7) : 104-111.

PDF(6843 KB)
PDF(6843 KB)
Journal of Changjiang River Scientific Research Institute ›› 2025, Vol. 42 ›› Issue (7) : 104-111. DOI: 10.11988/ckyyb.20240353
Hydraulics

Experimental Study on Hydraulic Characteristics of Fish-friendly Culverts with Baffles

Author information +
History +

Abstract

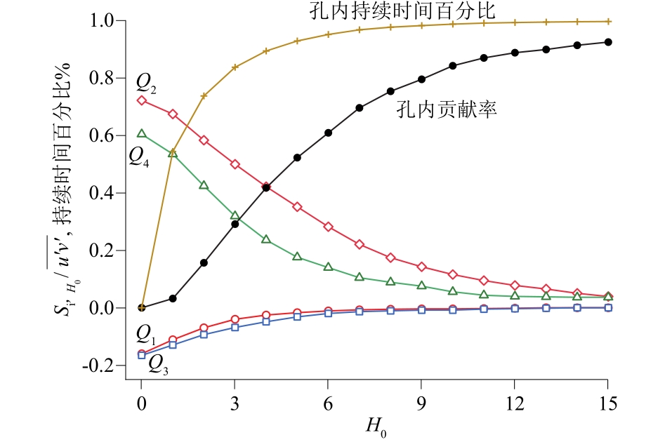
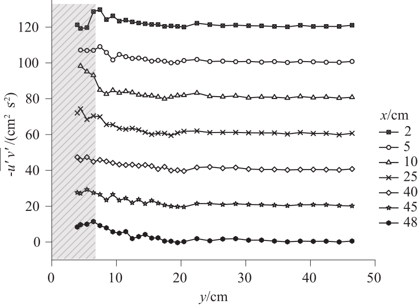
[Objectives] Traditional culvert designs often result in excessively high flow velocities within the channel, impeding the upstream movement of weak-swimming fish species. Installing small triangular baffles inside culverts has the potential to provide upstream passage for small fish while maintaining discharge capacity. This study aims to clarify the hydraulic effects of triangular baffles by arranging multiple small baffles along one side of a flume to simulate internal culvert structures and verify the hydraulic effects through flume experiments. [Methods] Three-dimensional velocity data were collected using an Acoustic Doppler Velocimeter (ADV) to analyze the distribution patterns of turbulent kinetic energy and Reynolds stress. The quadrant analysis method was employed to quantitatively assess the impact of the baffle system on flow velocity distribution, turbulence characteristics, and momentum transport modes. [Results] The results showed that the triangular baffles created stable low velocity zones (LVZs) along the sidewall, with longitudinal velocities ranging from -4 to 15 cm/s, and velocities at the outer edge of the baffles around 25 cm/s, below the critical swimming speed of small fish such as Rhinogobius giurinus. In the mainstream zone, the lateral profiles of longitudinal velocity were nearly identical, ranging from 25 to 30 cm/s, indicating that the small triangular baffles had minimal impact on mainstream flow and thus preserved discharge capacity, achieving synergistic optimization of hydraulic efficiency and ecological function. The proportion of the low velocity zone area remained relatively consistent along the flow path, accounting for 14.80%-18.07% of the total cross-sectional area, demonstrating the feasibility of using triangular baffles to stably expand LVZs. The baffles significantly enhanced turbulence intensity in the region near the baffle-side sidewall, generating clockwise vortices and positive horizontal Reynolds stress that play an important role in maintaining swimming stability. Although the turbulent kinetic energy and Reynolds stress in downstream LVZs were higher than those in high-speed regions without baffles, they remained below the threshold of fish swimming preferences. This moderate turbulence enhancement not only provided energy for swimming but also avoided excessive turbulence that could impair the sense of direction or balance. Momentum exchange was dominated by jetting (Q2) and sweeping (Q4) events, whose dominance increased with higher threshold parameter H0 (with a contribution rate of about 60% at H0=4). The transient vortices formed had planes parallel to the fish’s spine and body axis, reducing energy loss during upstream movement and improving swimming efficiency through vortex energy transfer. This provided a more favorable flow environment for weak-swimming fish species. [Conclusions] This study identifies the distribution patterns of mean flow and turbulence characteristics and introduces quadrant analysis into the study of culvert turbulence-fish behavior interactions. It reveals the promoting effect of small baffle structures in fish upstream migration and addresses the lack of detailed flow field and turbulence structure analyses in previous research. The findings offer a feasible hydraulic optimization paradigm and model reference for the design of eco-friendly culverts.

Key words

culverts / flume experiment / baffles / low velocity zones / momentum exchange

Cite this article

Download Citations
MAO Jing-qiao , LU Peng , GONG Yi-qing , et al . Experimental Study on Hydraulic Characteristics of Fish-friendly Culverts with Baffles[J]. Journal of Changjiang River Scientific Research Institute. 2025, 42(7): 104-111 https://doi.org/10.11988/ckyyb.20240353

References

[1]
邓晓川, 石迅雷, 王永猛, 等. 涵洞过鱼效果评价方法述评[J]. 水生态学杂志, 2021, 42(6): 123-130.
(DENG Xiao-chuan, SHI Xun-lei, WANG Yong-meng, et al. Review of Methods for Evaluating Fish Passage Through Culverts[J]. Journal of Hydroecology, 2021, 42(6): 123-130.(in Chinese))
[2]
胡晓, 井沛然, 黄利燕, 等. 涵洞过鱼通道典型挡板水力特性研究[J]. raybet体育在线 院报, 2018, 35(9): 68-74.
Abstract
作为现代水利工程建设中河流修复的一种特有手段,涵洞的基本功能除了作为路桥系统的输水通道之外,还要为工程所在流域水生动物能顺利通过障碍提供一条通道。但国内关于涵洞式过鱼通道水力设计方面的文献较少,我国涵洞式鱼道在修建过程中可供参考的理论依据非常有限。在分析国外涵洞式鱼道相关试验数据的基础上,对偏移式(OB)、槽堰式(SWB)和堰式(WB)3种典型挡板的水力特性及流场分布特征进行了归纳,得到了无量纲流量、水深、坡度与流速的关系表达式,比较并分析了3种挡板的工作性能。研究成果将为国内涵洞式鱼道的内部改造和水力设计提供理论依据与参考。
(HU Xiao, JING Pei-ran, HUANG Li-yan, et al. Hydraulic Characteristics of Classic Baffles in Culvert Fishway[J]. Journal of Yangtze River Scientific Research Institute, 2018, 35(9): 68-74.(in Chinese))
As a special means of river restoration in hydraulic engineering construction, culvert mainly functions as a water channel for road and bridge system, and for local aquatic animals to passing through barriers. Since the hydraulic design of culvert fishway is rarely reported in China, theoretical basis for the construction of culvert fishway is insufficient. By analyzing some experiment data of culvert fishway abroad, we summarized the hydraulic characteristics and flow fields of classical baffle systems of culvert fishways,including offset bafe(OB),slotted-weir bafe(SWB) and weir bafe(WB).We obtained the expressions of dimensionless flow rate, water depth, slope against velocity, and compared the working performance of the three baffles.The research achievements would provide theoretical basis and reference for the internal transformation and hydraulic design of culvert fishway in China.
[3]
LENG X, CHANSON H, GORDOS M, et al. Developing Cost-effective Design Guidelines for Fish-friendly Box Culverts, with a Focus on Small Fish[J]. Environmental Management, 2019, 63(6): 747-758.
Low-level river crossings can have negative impacts on freshwater ecosystems, including blocking upstream fish passage. In order to restore upstream fish passage in culverts, we developed physically-based design methods to yield cost-effective culvert structures in order to maintain or restore waterway connectivity for a range of small-bodied fish species. New guidelines are proposed for fish-friendly multi-cell box culvert designs based upon two basic concepts: (1) the culvert design is optimised for fish passage for small to medium water discharges, and for flood capacity for larger discharges, and (2) low-velocity zones in the culvert barrel are defined in terms of a percentage of the wetted flow area where the local longitudinal velocity component is less than a characteristic fish speed linked to swimming performances of targeted fish species. This approach is novel and relies upon an accurate physically-based knowledge of the entire velocity field in the barrel, specifically the longitudinal velocity map, because fish tend to target low-velocity zone (LVZ) boundaries. The influence of the relative discharge threshold Q/Q, characteristic fish swimming speed U, and percentage of flow area on the size of box culvert structures was assessed. The results showed that the increase in culvert size and cost might become significant for a smooth culvert barrel with U< 0.3 m/s and Q/Q> 0.3, when providing 15% flow area with 0 < V< U. Similar trends were seen for culvert barrel with recessed cell(s).
[4]
HU J, LI Y, CHANSON H. Near-full-scale Hydraulic Modeling of Fish-friendly Culvert with Full-height Sidewall Baffles[J]. Journal of Hydraulic Engineering, 2024, 150(4): 04024010-1-11.
[5]
许晓蓉, 刘德富, 汪红波, 等. 涵洞式鱼道设计现状与展望[J]. raybet体育在线 院报, 2012, 29(4): 44-48, 63.
Abstract
在工程设计和施工时,为减少截流对鱼类生态环境影响,需要考虑特有鱼类洄游通道的要求而设置专门的鱼道。通过对国内外涵洞式鱼道相关资料的收集整理和分析,针对国内外的发展现状,较详细地介绍了涵洞式鱼道的发展过程、鱼道隔板类型和水力特性及其优缺点,分析了涵洞式鱼道的设计方法和要点,包括收集信息、选址、隔板类型和水力计算等,并对国内外鱼道的建设和发展进行了展望。特别是国外在涵洞式鱼道领域的研究方法和成功经验,可为我国在该领域的后续工作提供良好的借鉴。
(XU Xiao-rong, LIU De-fu, WANG Hong-bo, et al. Culvert Fishway Design: Status and Prospects[J]. Journal of Yangtze River Scientific Research Institute, 2012, 29(4): 44-48, 63.(in Chinese))
Special fish migration channels should be set up to reduce the impact on fish eco-environment in engineering design and construction. The authors presented the development, baffle types and hydraulic characteristics of culvert fishway, and described the main points in designing a culvert fishway, including the collection of information, site selection, baffle types and hydraulic calculations, and also prospected the construction and development of fishway in China and abroad. The research methods and successful experiences in foreign countries could provide good reference for our country in the subsequent work.
[6]
高欢, 龚轶青, 毛劲乔, 等. 基于LES的连续分布植物斑块水动力特性研究[J]. 工程科学与技术, 2025, 57(3):1-9.
(GAO Huan, GONG Yi-qing, Mao Jing-qiao, et al. Study on Ydrodynamic Haracteristics of Ontinuous Istribution Egetation Atches Ased on LES[J]. Advanced Engineering Sciences, 2025, 57(3):1-9)(in Chinese))
[7]
JOHNSON K, WAIT L E, MONK S K, et al. Effects of Substrate on Movement Patterns and Behavior of Stream Fish through Culverts: an Experimental Approach[J]. Sustainability, 2019, 11(2): 470.
[8]
王琲, 杨文俊, 陈辉. 生态水工建筑物: 鱼道的建设及研究进展[J]. 人民长江, 2013, 44(9): 88-92.
(WANG Bei, YANG Wen-jun, CHEN Hui. Construction and Research Progress of Ecological Fish-way of Hydraulic Structure[J]. Yangtze River, 2013, 44(9): 88-92.(in Chinese))
[9]
LANKA VENKATA S K. Computational Modeling and Analysis of Low Flow through Large Culverts for Fish Passage[D]. Dekalb: Northern Illinois University, 2011.
[10]
MAGAJU D, MONTGOMERY J, FRANKLIN P, et al. Spoiler Baffle Patch Design for Improved Upstream Passage of Small-bodied Fish[J]. Ecological Engineering, 2021, 169: 106316.
[11]
OLSEN A H, TULLIS B P. Laboratory Study of Fish Passage and Discharge Capacity in Slip-Lined, Baffled Culverts[J]. Journal of Hydraulic Engineering, 2013, 139(4): 424-432.
[12]
CABONCE J, FERNANDO R, WANG H, et al. Using Small Triangular Baffles to Facilitate Upstream Fish Passage in Standard Box Culverts[J]. Environmental Fluid Mechanics, 2019, 19(1): 157-179.
[13]
SAILEMA C, FREIRE R, CHANSON H, et al. Modelling Small Ventilated Corner Baffles for Box Culvert Barrel[J]. Environmental Fluid Mechanics, 2020, 20(2):433-457.
[14]
WANG H, UYS W, CHANSON H. Alternative Mitigation Measures for Fish Passage in Standard Box Culverts: Physical Modelling[J]. Journal of Hydro-Environment Research, 2018, 19: 214-223.
[15]
李甜畅, 闫滨. 鱼道紊流特性研究进展[J]. raybet体育在线 院报, 2018, 35(2):62-67,83.
Abstract
鱼道内的紊流特性对于鱼类能否顺利上溯洄游至关重要。为了解鱼道内的紊流状态,综述了丹尼尔式、竖缝式、组合式、涵洞式等鱼道内紊流流速、紊动能、紊流强度、雷诺剪切应力以及漩涡等紊流特性的研究进展,分析不同鱼道内紊流的分布规律及特点,指出鱼道中的紊流强度、紊动能等均会对鱼类对栖息地的选择以及鱼类通行造成较大的影响。此外,目前国内对鱼道内漩涡紊流特性的研究较少,建议对其深入研究,以改善鱼道内水力条件,保证鱼道有效运行。
(LI Tian-chang, YAN Bin. Research Progress on Turbulence Characteristics of Fishway[J]. Journal of Yangtze River Scientific Research Institute, 2018, 35(2): 62-67, 83.(in Chinese))
Turbulence characteristics in fishway are important for fish migration towards the upstream reach. In this article, we made a review on the research progresses of turbulence parameters including turbulence velocity, turbulent kinetic energy, turbulence intensity, Reynolds shear stress, and vortex in Danilian fishway, vertical slot fishway, composite fishway and culvert fishway. We also analyzed the rules and characteristics of turbulence distribution in different types of fishway, and pointed out that turbulence intensity and turbulent kinetic energy have great impact on habitat selection and fish passage. Finally we recommend conducting in-depth research on the turbulence characteristics of vortexes in fishway, which has received few research attentions, to improve the hydraulic condition in fishway and ensure an efficient operation.
[16]
柳松涛, 石小涛, 孙双科, 等. 竖缝式鱼道180°转弯段隔板布置与水力特性[J]. raybet体育在线 院报, 2023, 40(4): 88-94.
Abstract
受枢纽布置与地形条件限制,很多鱼道工程都需要设置180°转弯段。前人研究发现180°转弯段容易出现较大的回流区并影响上溯效率,为改善转弯段水流结构,目前常用的做法是沿转弯段边墙增设垂向导板。与以往研究不同,本研究提出了一种在转弯段内增设顺水流方向导鱼隔板的布置方案。采用数值模拟对转弯段水流流场进行计算研究,结果表明隔板布置可以使主流区基本居中,回流区减小,回流区长宽比增加,转弯段内形成不同流速量值的流区,是一种可供借鉴的优化布置方式。
(LIU Song-tao, SHI Xiao-tao, SUN Shuang-ke, et al. Arrangement and Hydraulic Characteristics of Divider in 180° Turn Section of Vertical Slot Fishway[J]. Journal of Changjiang River Scientific Research Institute, 2023, 40(4): 88-94.(in Chinese))
[17]
WANG H, CHANSON H. On Upstream Fish Passage in Standard Box Culverts: Interactions between Fish and Turbulence[J]. Journal of Ecohydraulics, 2018, 3(1): 18-29.
[18]
MEIRE D W S A, KONDZIOLKA J M, NEPF H M. Interaction between Neighboring Vegetation Patches: Impact on Flow and Deposition[J]. Water Resources Research, 2014, 50(5): 3809-3825.
[19]
ZHANG G, CHANSON H. Three-dimensional Numerical Simulations of Smooth, Asymmetrically Roughened, and Baffled Culverts for Upstream Passage of Small-bodied Fish[J]. River Research and Applications, 2018, 34(8): 957-964.
[20]
CAHOON J E, MCMAHON T, SOLCZ A, et al. Fish Passage in Montana Culverts: Phase II - Passage Goals[J]. Fisheries, 2007.
[21]
QUARANTA E, KATOPODIS C, REVELLI R, et al. Turbulent Flow Field Comparison and Related Suitability for Fish Passage of a Standard and a Simplified Low-gradient Vertical Slot Fishway[J]. River Research and Applications, 2017, 33(8): 1295-1305.
[22]
王渊洋, 李鸿, 柯森繁, 等. 四大家鱼幼鱼下行行为及流场偏好研究[J]. 水生态学杂志, 2024(4): 117-124.
(WANG Yuan-yang, LI Hong, KE Seng-fan, et al. Study on Behaviour and Preferred Flow Field for Four Major Chinese carps[J]. Journal of Hydroecology, 2024(4): 117-124.(in Chinese))
[23]
LU S S, WILLMARTH W W. Measurements of the Structure of the Reynolds Stress in a Turbulent Boundary Layer[J]. Journal of Fluid Mechanics, 1973, 60(3):481.
[24]
张英豪, 赖锡军, 姜加虎. 含苦草水流紊流结构典型剖面的象限分析[J]. 水动力学研究与进展A辑, 2015, 30(5): 526-532.
(ZHANG Ying-hao, LAI Xi-jun, JIANG Jia-hu. Quadrant Analysis of the Typical Profile of Turbulence Structure in Flow with Vallisneria Natans[J]. Chinese Journal of Hydrodynamics, 2015, 30(5):526-532.(in Chinese))
[25]
MUHAWENIMANA V, WILSON C A M E, OURO P, et al. Spanwise Cylinder Wake Hydrodynamics and Fish Behavior[J]. Water Resources Research, 2019, 55(11): 8569-8582.
Flows generated near hydro-engineering structures are characterized by energetic three-dimensional flow structures that are markedly different from naturally occurring fish habitats. The current study evaluated the interaction of Nile tilapia (Oreochromis niloticus) with spanwise rollers in the turbulent wake of a cylinder in both the wake bubble and the vortex shedding further downstream. The flow field hydrodynamics were measured using an acoustic Doppler velocimeter for Reynolds number (Re-D) regimes ranging from 3,730 to 33,590, over a streamwise length of six diameters downstream of the cylinder, and revealed a pair of alternating vortices rotating about a spanwise axis, which were rendered asymmetric by the bed boundary proximity. Fish avoided areas where vorticity, turbulence intensity, turbulent kinetic energy, eddy size, and Reynolds shear stress were highest. Events of stability loss, referred to as spills, were significantly correlated to the turbulence integral length scale relative to fish standard length, with the peak number of spills occurring when the eddy length approached 45% to 50% of the fish length. Spill events significantly depended on Re-D, Reynolds stress, and vorticity and varied according to fish length and weight. Among zones of similar Reynolds stress and vorticity magnitude, spills were most frequent when Reynolds shear stress was positive, downward acting and eddies rotated clockwise, which highlights the importance of direction and orientation of flow structures in determining the hydrodynamic forces that affect fish swimming stability. Recommendations are made for the inclusion of these metrics in the design and refinement of hydro-engineering schemes.
[26]
LAUDER G V, MADDEN P G A. Fish Locomotion: Kinematics and Hydrodynamics of Flexible Foil-like Fins[J]. Experiments in Fluids, 2007, 43(5): 641-653.
PDF(6843 KB)

Accesses

Citation

Detail

Sections
Recommended

/

Baidu
map