Recent Riverbed Evolution and Protective Measures in Taiziji Reach

HE Xiao-zhi, YUE Hong-yan, LUAN Hua-long, HUANG Wei-dong, XU Fang

Journal of Changjiang River Scientific Research Institute ›› 2025, Vol. 42 ›› Issue (6) : 14-20.

PDF(29812 KB)
PDF(29812 KB)
Journal of Changjiang River Scientific Research Institute ›› 2025, Vol. 42 ›› Issue (6) : 14-20. DOI: 10.11988/ckyyb.20240257
River-Lake Protection And Regulation

Recent Riverbed Evolution and Protective Measures in Taiziji Reach

Author information +
History +

Abstract

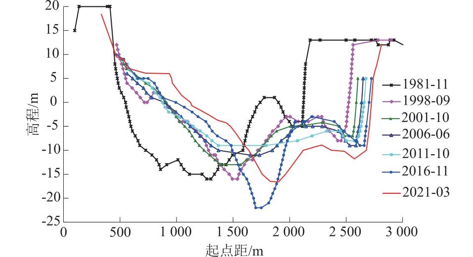
[Objective] Significant recent scouring of the riverbed has been observed near Biandanzhou on the right bank of the Taiziji Reach, potentially threatening dike safety, influencing river regime control nodes, and altering the flow distribution ratio of downstream branches. Meanwhile, the navigation conditions in the main channel of Donggang on the right branch remain unstable. [Methods] To ensure flood control and navigation safety, this study analyzed the recent riverbed evolution of the Taiziji Reach based on the latest original underwater topographic observation data and long-term measured records. The study also predicted river regime development trends and proposed corresponding preventive and control measures to address existing issues. [Results] The shoreline has remained generally stable over the years. Except for the straight reach from Changhekou to Xingfucun, the thalweg has shown limited variation. The most significant platform migration, with a maximum lateral migration of approximately 1.1 km, was recorded in the Biandanzhou-Xingfucun area. The thalweg elevation generally exhibited a lower upstream and higher downstream pattern, with alternating changes in elevation over time. The -5,-10, and -15 m contour lines showed a slight overall scouring trend in the deep channel. The Tietongzhou branch would continue to exhibit a pattern of left branch and right main channel, with the right branch showing a general scouring trend. Locally, severe scouring near Biandanzhou was evident inter-annually, with the right bank retreating by approximately 700 m between 1981 and 2021 and the maximum local depth of scouring in the riverbed about 12 m. [Conclusions] It is recommended to implement protective measures as soon as possible for the severely scoured sections near Biandanzhou. Continuous enhancement of hydrological and topographic monitoring and follow-up analyses is essential. Once issues are identified, engineering interventions such as river regulation works should be promptly adopted. The results of this study provide critical technical support for future river management strategies in the Taiziji Reach under new flow-sediment conditions.

Key words

riverbed evolution / thalweg line / river regime changes / bankline change / protection measures / Taiziji Reach

Cite this article

Download Citations
HE Xiao-zhi , YUE Hong-yan , LUAN Hua-long , et al . Recent Riverbed Evolution and Protective Measures in Taiziji Reach[J]. Journal of Changjiang River Scientific Research Institute. 2025, 42(6): 14-20 https://doi.org/10.11988/ckyyb.20240257

References

[1]
李明, 朱玲玲, 李义天, 等. 长江中下游鹅头型分汊河道演变机理及发展趋势研究[J]. 水力发电学报, 2013, 32(1): 174-180, 186.
(LI Ming, ZHU Ling-ling, LI Yi-tian, et al. Study on Evolution Mechanism and Development Trend of the Goose-head Pattern Braided Channel in the Middle and Lower Yangtze River[J]. Journal of Hydroelectric Engineering, 2013, 32(1): 174-180,186. (in Chinese))
[2]
陈立, 周银军, 闫霞, 等. 三峡下游不同类型分汊河段冲刷调整特点分析[J]. 水力发电学报, 2011, 30(3): 109-116.
(CHEN Li, ZHOU Yin-jun, YAN Xia, et al. Research on Erosion Adjustment Features of Different Types of Braided Reaches Downstream the Three Gorges Project[J]. Journal of Hydroelectric Engineering, 2011, 30(3): 109-116. (in Chinese))
[3]
马有国, 高幼华. 长江中下游鹅头型汊道演变规律的分析[J]. 泥沙研究, 2001, 26(1): 11-15.
(MA You-guo, GAO You-hua. Study on the Evolution of Goose-neck Bifurcated Channel in the Middle and Lower Reaches of Changjiang(Yangtze) River[J]. Journal of Sediment Research, 2001, 26(1): 11-15. (in Chinese))
[4]
张俊龙. 长江下游太子矶河段河势演变分析[J]. 河南水利与南水北调, 2021, 50(6): 84-85.
(ZHANG Jun-long. Analysis of River Regime Evolution in Taiziji Reach of the Lower Yangtze River[J]. Henan Water Resources and South-to-North Water Diversion, 2021, 50(6): 84-85. (in Chinese))
[5]
杨丽. 新水沙条件下长江太子矶河段秋江圩崩岸治理及效果分析[J]. 水利建设与管理, 2021, 41(9): 11-16.
(YANG Li. Treatment and Effect Analysis of Qiujiangwei Bank Collapse in Taiziji Reach of the Yangtze River under New Water and Sand Condition[J]. Water Conservancy Construction and Management, 2021, 41(9): 11-16. (in Chinese))
[6]
雷雪婷. 长江下游太子矶水道近期航道稳定性分析[J]. 水运工程, 2018(3): 118-123.
(LEI Xue-ting. Analysis of Recent Channel Stability of Taiziji Channel in Lower Reaches of the Yangtze River[J]. Port & Waterway Engineering, 2018(3): 118-123. (in Chinese))
[7]
刘中惠. 长江中下游鹅头型汊道演变及治理[J]. 人民长江, 1993, 24(12): 31-37.
(LIU Zhong-hui. Evolution and Treatment of Goose-head-shaped Inlet in the Middle and Lower Reaches of the Yangtze River[J]. Yangtze River, 1993, 24(12): 31-37. (in Chinese))
[8]
姚仕明, 郭小虎, 陈栋, 等. 2020年汛期长江中下游河道洪水过程及特性分析[J]. 中国防汛抗旱, 2021, 31(2): 5-10.
(YAO Shi-ming, GUO Xiao-hu, CHEN Dong, et al. Analysis of the Flood Process and Characteristics in the Middle and Lower Reaches of the Yangtze River during the 2020 Flood Season[J]. China Flood & Drought Management, 2021, 31(2): 5-10. (in Chinese))
[9]
许全喜, 董炳江, 张为. 2020年长江中下游干流河道冲淤变化特点及分析[J]. 人民长江, 2021, 52(12): 1-8.
(XU Quan-xi, DONG Bing-jiang, ZHANG Wei. Characteristics and Analysis on Scouring and Silting Changes in Main Stream of Middle and Lower Reaches of Changjiang River in 2020[J]. Yangtze River, 2021, 52(12): 1-8. (in Chinese))
[10]
陈飞, 刘奇峰. 长江下游安庆河段航道整治二期工程工程可行性研究[R]. 武汉: 长江航道规划设计研究院, 2015.
(CHEN Fei, LIU Qi-feng. Feasibility Study on the Second Phase of Waterway Regulation in Anqing River Section of the Lower Reaches of Yangtze River[R]. Wuhan: Yangtze River Channel Planning and Gesign Institute. 2015. (in Chinese))
PDF(29812 KB)

Accesses

Citation

Detail

Sections
Recommended

/

Baidu
map