长三角先行启动区水体透明度时空变化特征及影响因素

王宇, 周维奇, 白濛雨, 苏函, 胡伟

raybet体育在线 院报 ›› 2025, Vol. 42 ›› Issue (5) : 73-80.

PDF(7031 KB)
PDF(7031 KB)
raybet体育在线 院报 ›› 2025, Vol. 42 ›› Issue (5) : 73-80. DOI: 10.11988/ckyyb.20240242
水环境与水生态

长三角先行启动区水体透明度时空变化特征及影响因素

作者信息 +

Spatiotemporal Variation Characteristics and Influencing Factors of Water Transparency in the Pilot Zone of Yangtze River Delta

Author information +
文章历史 +

摘要

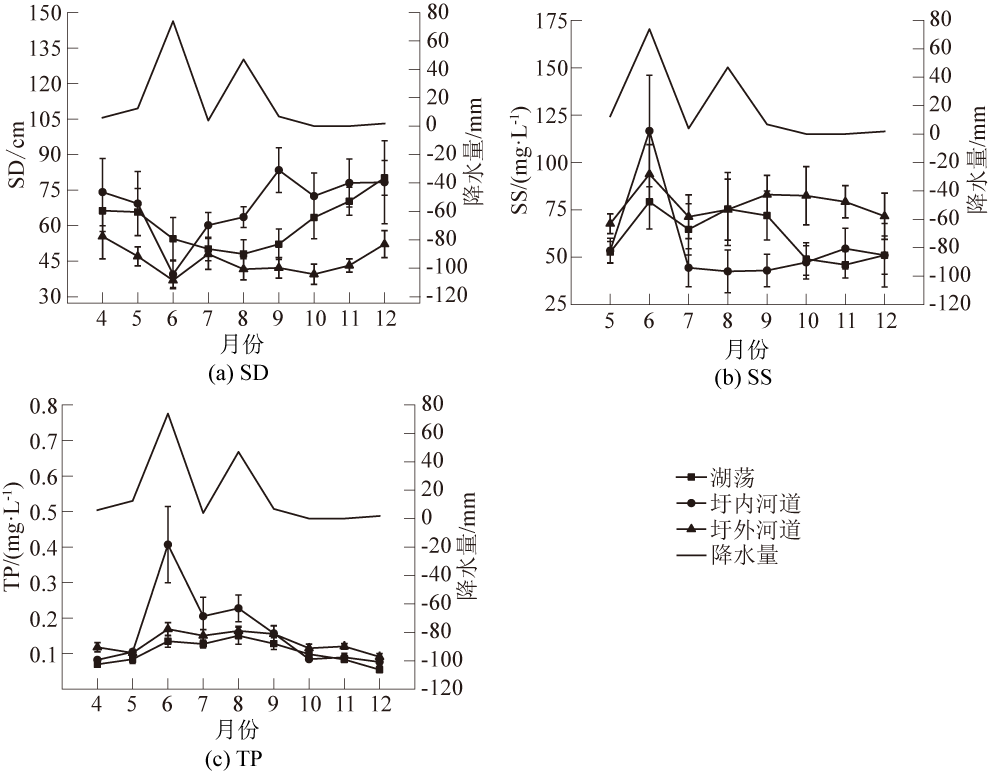
水体透明度提升是改善水质观感的重要技术路径。根据2023年4—12月对长三角一体化先行启动区内典型水体(湖荡、圩内河道、圩外河道)的实地监测结果,探讨区域内典型水体的透明度(SD)时空分布特征、影响因素及提升目标。研究结果表明:监测期间,湖荡、圩内河道、圩外河道SD均值分别在61.17、68.75、45.08 cm左右;空间上,西塘镇及黎里镇东南区域SD整体较好(>70 cm),而元荡、金泽镇东北区域以及太浦河相对较差(<50 cm);降雨对SD影响较大,尤其是圩内河道;相关性分析显示,悬浮物浓度为SD的首要相关指标(R=-0.65~-0.79),总磷与SD的负相关性在湖荡水体中尤为显著(R=-0.71),而叶绿素a仅在圩内河道中与SD无显著相关性。此外,研究进一步构建了SD与浊度、悬浮物、总磷的拟合曲线模型,其中SD与浊度的整体拟合效果最佳(R2=0.66~0.74),并以近岸主要的沉水植物能够存活为要求,确立了先行启动区SD的初期目标值应控制在59.14~83.06 cm以上。

Abstract

[Objective] This study focuses on typical water bodies (lakes, rivers inside the polder area, and rivers outside the polder area) in the pilot zone of the Yangtze River Delta, aiming to: (1) analyze the spatiotemporal differentiation characteristics of water transparency (Secchi Depth,SD) in the three typical water bodies; (2) identify the key drivers of SD through correlation and regression models; (3) propose SD improvement thresholds based on the light compensation requirements of submerged vegetation restoration, providing scientific evidence for precise water quality management in plain river networks. [Methods] The study was based on field monitoring data from April to December 2023, focusing on water transparency and other water quality indicators in the Pilot Zone. The analysis combined trends in monthly variations of suspended solids (SS), total phosphorus (TP), chlorophyll-a (Chl-a), and turbidity to explore the spatiotemporal distribution and variation characteristics of SD. Correlation analysis and curve fitting models of SD with turbidity, SS, and TP were employed to quantify the driving mechanisms of SD. Based on the survival needs of local nearshore submerged vegetation, SD thresholds and strongly related water quality improvement targets were established. [Results] (1) River channels within embankments exhibited the highest average SD (68.75 cm), but fluctuated significantly due to rainfall disturbances. The seasonal difference in lake SD was significant (average 61.17 cm), with peak values in winter (80.14 cm) and minimum values in summer (48.00 cm). River channels outside embankments had the lowest SD (45.08 cm) due to strong hydrodynamic disturbances from navigation. Spatially, SD exceeded 70 cm in the southeast of Xitang Town and Lili Town, while SD was below 50 cm in Yuandang Lake, the northeast of Jinze Town, and Taipu River due to aquaculture pollution, construction runoff, and resuspension of bottom sediment. (2) SS concentration was the primary correlated indicator of SD (R=-0.65 to -0.79). The negative correlation between TP and SD was particularly significant in lake water (R=-0.71), and the C3 component (humic-like substances) of dissolved organic matter (DOM) shared a common origin with TP (R=0.64), indicating that TP in lake water mainly originated from soil erosion and surface runoff input. In river channels within embankments, there was no significant correlation between Chl-a and SD (R=-0.14), and Chl-a exhibited the lowest concentration (4.45 μg/L), attributed to the algae-suppressing effect of dense submerged plant growth. (3) SD in channels within embankments was significantly affected by heavy rainfall (73.90 mm in June), with a 20%-40% decrease, while SS (↑60 mg/L) and TP (↑0.12 mg/L) levels significantly increased. However, weak rainfall (≤46.93 mm) had a relatively insignificant effect on water transparency. (4) To maintain local submerged vegetation in the pilot zone, SD should be maintained above 59.14-83.06 cm (calculated based on light compensation depth), corresponding to the following thresholds for strongly correlated water quality indicators: turbidity (Turb) ≤7.46-16.14 NTU (for all water bodies), SS≤18.42-43.41 mg/L (for river channels outside embankments), and TP≤0.052-0.099 mg/L (for lakes). [Conclusion] Recommendations are proposed for future transparency enhancement projects in the pilot zone: for lakes, control land-based phosphorus input; for river channels outside embankments, enhance bottom sediment stabilization under navigation disturbances; for river channels within embankments, emphasize the algae-suppressing function of submerged vegetation, highlighting the synergistic effect of ecological restoration on transparency management.

关键词

长三角先行启动区 / 水体透明度 / 影响因素 / 时空分布 / 相关性分析

Key words

pilot zone of the Yangtze River Delta / water transparency / influencing factors / spatiotemporal distribution / correlation analysis

引用本文

导出引用
王宇, 周维奇, 白濛雨, . 长三角先行启动区水体透明度时空变化特征及影响因素[J]. raybet体育在线 院报. 2025, 42(5): 73-80 https://doi.org/10.11988/ckyyb.20240242
WANG Yu, ZHOU Wei-qi, BAI Meng-yu, et al. Spatiotemporal Variation Characteristics and Influencing Factors of Water Transparency in the Pilot Zone of Yangtze River Delta[J]. Journal of Changjiang River Scientific Research Institute. 2025, 42(5): 73-80 https://doi.org/10.11988/ckyyb.20240242
中图分类号: X52 (水体污染及其防治)   

参考文献

[1]
朱天依, 王欢, 胥瑞晨. 长三角“水乡客厅”水体透明度数值模型构建[J]. raybet体育在线 院报, 2024, 41(5):51-58.
摘要
“水乡客厅”作为长三角区域一体化的重要示范性工程,如何提升其水体透明度,改善水体感官仍然是一个亟待解决的难题。在相关水质监测及悬浮物沉降试验的基础上,分析研究了“水乡客厅”水体透明度的主要影响因素,并构建了其与水体透明度的多元回归方程,基于该方程,构建了水体透明度数值模型。结果显示:相较于圩内河道,圩外河道及湖荡的水体透明度相对较低;研究区域内水体透明度的主要影响因素为悬浮物浓度,其皮尔逊相关系数为-0.48,呈明显负相关关系,次要因素为叶绿素浓度;分圩内河道、圩外河道、湖荡区域分别构建悬浮物沉降系数与悬浮物浓度、水体流速的拟合方程,决定系数R<sup>2</sup>均&gt;0.8,拟合效果较好;基于上述分析结果所构建的水体透明度数值模型能够较好地描述“水乡客厅”水体透明度的分布规律,可为后续区域水生态修复及富营养化治理提供技术支撑。
(ZHU Tian-yi, WANG Huan, XU Rui-chen. Numerical Model of Water Transparency in the Water Village Living Room in Yangtze River Delta[J]. Journal of Yangtze River Scientific Research Institute, 2024, 41(5): 51-58.) (in Chinese)
The Water Village Living Room is a core demonstration zone for integrated ecological and high-quality development in the Yangtze River Delta (Shanghai-Jiangsu-Zhejiang region). Enhancing its water transparency and sensory appeal remains a challenge. On the basis of water quality monitoring and suspended solids settling experiments, we examined the key factors affecting water transparency and constructed a numerical model for assessing transparency in the Water Village Living Room through multiple regression analysis. Findings highlight that waters outside the polder areas exhibit lower transparency compared to those within. The concentration of suspended solids emerges as the principal transparency determinant, evidenced by a strong inverse relationship (Pearson’s correlation coefficient reaching -0.48) with transparency. Chlorophyll concentration ranks as a secondary influence. Furthermore, we established the correlations between sedimentation coefficient of suspended solids and both their concentrations and water flow velocity for varied locations—inside polders, outside polders, and lakes. These correlations demonstrate robustness, with coefficients of determination (<i>R</i><sup>2</sup>) exceeding 0.8. The developed numerical model not only elucidates water transparency distribution patterns in the Water Village Living Room but also serves as a vital tool for water eco-environment restoration and the treatment of eutrophic water bodies.
[2]
季永兴, 韩非非, 施震余, 等. 长三角一体化示范区水生态环境治理思考[J]. 水资源保护, 2021, 37(1):103-109.
(JI Yong-xing, HAN Fei-fei, SHI Zhen-yu, et al. Thinking on Water Eco-environment Management in Regional Integration Demonstration Area of Yangtze River Delta[J]. Water Resources Protection, 2021, 37(1): 103-109.) (in Chinese)
[3]
王书航, 姜霞, 王雯雯, 等. 蠡湖水体透明度的时空变化及其影响因素[J]. 环境科学研究, 2014, 27(7):688-695.
(WANG Shu-hang, JIANG Xia, WANG Wen-wen, et al. Dynamic Spatial and Temporal Changes in Water Transparency and Their Influencing Factors in Lihu Lake[J]. Research of Environmental Sciences, 2014, 27(7): 688-695.) (in Chinese)
[4]
STEDMON C A, BRO R. Characterizing Dissolved Organic Matter Fluorescence with Parallel Factor Analysis: A Tutorial[J]. Limnology and Oceanography: Methods, 2008, 6(11): 572-579.
[5]
CHEN W, WESTERHOFF P, LEENHEER J A, et al. Fluorescence Excitation-Emission Matrix Regional Integration to Quantify Spectra for Dissolved Organic Matter[J]. Environmental Science & Technology, 2003, 37(24):5701-5710.
[6]
吴梦莹. 长荡湖水体有机污染时空变化特征及溯源研究[D]. 扬州: 扬州大学, 2023.
(WU Meng-ying. Temporal and Spatial Variation Characteristics and Traceability of Organic Pollution in Changdang Lake[D]. Yangzhou: Yangzhou University, 2023.) (in Chinese)
[7]
JEON M H, JUNG J, PARK M O, et al. Tracing Circumpolar Deep Water and Glacial Meltwater Using Humic-like Fluorescent Dissolved Organic Matter in the Amundsen Sea, Antarctica[J]. Marine Chemistry, 2021, 235: 104008.
[8]
陈俊伊, 王书航, 郑朔方, 等. 南湖水系水体透明度时空分布、影响因素及控制对策[J]. 环境工程技术学报, 2020, 10(6): 897-904.
(CHEN Jun-yi, WANG Shu-hang, ZHENG Shuo-fang, et al. Study on Spatial and Temporal Distribution, Influencing Factors and Control Measures of Water Transparency of Nanhu Lake Water System[J]. Journal of Environmental Engineering Technology, 2020, 10(6): 897-904.) (in Chinese)
[9]
BAGHOTH S A, SHARMA S K, AMY G L. Tracking Natural Organic Matter (NOM) in a Drinking Water Treatment Plant Using Fluorescence Excitation-Emission Matrices and PARAFAC[J]. Water Research, 2011, 45(2): 797-809.
Natural organic matter (NOM) in water samples from a drinking water treatment train was characterized using fluorescence excitation emission matrices (F-EEMs) and parallel factor analysis (PARAFAC). A seven component PARAFAC model was developed and validated using 147 F-EEMs of water samples from two full-scale water treatment plants. It was found that the fluorescent components have spectral features similar to those previously extracted from F-EEMs of dissolved organic matter (DOM) from diverse aquatic environments. Five of these components are humic-like with a terrestrial, anthropogenic or marine origin, while two are protein-like with fluorescence spectra similar to those of tryptophan-like and tyrosine-like fluorophores. A correlation analysis was carried out for samples of one treatment plant between the maximum fluorescence intensities (F(max)) of the seven PARAFAC components and NOM fractions (humics, building blocks, neutrals, biopolymers and low molecular weight acids) of the same sample obtained using liquid chromatography with organic carbon detection (LC-OCD). There were significant correlations (p < 0.01) between sample DOC concentration, UVA(254), and F(max) for the seven PARAFAC components and DOC concentrations of the LC-OCD fractions. Three of the humic-like components showed slightly better predictions of DOC and humic fraction concentrations than UVA(254.) Tryptophan-like and tyrosine-like components correlated positively with the biopolymer fraction. These results demonstrate that fluorescent components extracted from F-EEMs using PARAFAC could be related to previously defined NOM fractions and that they could provide an alternative tool for evaluating the removal of NOM fractions of interest during water treatment.Copyright © 2010 Elsevier Ltd. All rights reserved.
[10]
邹志科, 余蕾, 张煜, 等. 基于Sentinel2-L1C的江汉平原水产养殖区水质参数反演[J]. raybet体育在线 院报, 2023, 40(9): 181-187.
摘要
遥感技术已成为监测内陆水域水质的一种有效手段,为研究江汉平原水产养殖区域内水体总磷、总氮和化学需氧量浓度的变化规律,基于Sentinel2-L1C遥感数据建立水体透明度、悬浮物浓度、叶绿素a浓度3种光学活性物质浓度的反演模型,结合推算出的水体透明度、悬浮物浓度和叶绿素a浓度与拟合点水体实测总磷、总氮和化学需氧量浓度分别建立关联,构建江汉平原拟合点水体总磷、总氮和化学需氧量浓度3种非光学活性物质浓度的间接反演模型并进行模型的率定验证。结果表明:水体透明度与水体总磷浓度具有较好相关性,水体透明度越高,水质越好,水体总磷浓度越低;水体悬浮物浓度与水体总氮浓度具有较高相关性,水体悬浮物浓度越高,水质越差,对应水体总氮浓度越高;水体叶绿素a浓度越高,对应水体化学需氧量浓度越高。构建水体总磷浓度、总氮浓度和化学需氧量浓度的间接反演模型,确定性系数均&gt;0.6,并对江汉平原监测点水体的总磷、总氮和化学需氧量浓度进行了模拟和分析,结论与水产养殖区内饲料投喂主要时期的影响规律基本保持一致。研究结果对于探测江汉平原水产养殖区大尺度范围水质参数的时空演变具有一定的实用价值。
(ZOU Zhi-ke, YU Lei, ZHANG Yu, et al. Inversion of Water Quality Parameters in Jianghan Plain Based on Sentinel 2-L1C Image[J]. Journal of Changjiang River Scientific Research Institute, 2023, 40(9): 181-187.) (in Chinese)
[11]
EDWARDS A C, WITHERS P J A. Transport and Delivery of Suspended Solids, Nitrogen and Phosphorus from Various Sources to Freshwaters in the UK[J]. Journal of Hydrology, 2008, 350(3/4): 144-153.
[12]
WALLING D E, COLLINS A L, STROUD R W. Tracing Suspended Sediment and Particulate Phosphorus Sources in Catchments[J]. Journal of Hydrology, 2008, 350(3/4):274-289.
[13]
张利民, 王水, 韩敏, 等. 太湖流域望虞河西岸地区氮磷污染来源解析及控制对策[J]. 湖泊科学, 2010, 22(3): 315-320.
(ZHANG Li-min, WANG Shui, HAN Min, et al. Nitrogen and Phosphorus Pollution in the Western District of Wangyu River and Countermeasures, Taihu Basin[J]. Journal of Lake Sciences, 2010, 22(3): 315-320.) (in Chinese)
[14]
张睿婷, 胡昕欣, 金睿, 等. 2019年苏州市10处湿地中水体的透明度及其影响因素研究[J]. 湿地科学, 2021, 19(3):331-341.
(ZHANG Rui-ting, HU Xin-xin, JIN Rui, et al. Transparency of Water Bodies in 10 Wetlands in Suzhou City in 2019 and Its Influence Factors[J]. Wetland Science, 2021, 19(3): 331-341.) (in Chinese)
[15]
杨清心. 富营养水体中沉水植物与浮游藻类相互竞争的研究[J]. 湖泊科学, 1996, 8(增刊1): 17-24.
(YANG Qing-xin. Study on Competition between Submerged Plants and Phytoplankton in Eutrophic Water[J]. Journal of Lake Sciences, 1996, 8(Supp.1): 17-24.) (in Chinese)
[16]
张晓晶, 李畅游, 贾克力, 等. 乌梁素海水体透明度分布及影响因子相关分析[J]. 湖泊科学, 2009, 21(6):879-884.
(ZHANG Xiao-jing, LI Chang-you, JIA Ke-li, et al. Spatial-temporal Changes in Water Transparency and Its Impact Factors in Lake Wuliangsuhai[J]. Journal of Lake Sciences, 2009, 21(6): 879-884.) (in Chinese)
[17]
翟世奎, 张怀静, 范德江, 等. 长江口及其邻近海域悬浮物浓度和浊度的对应关系[J]. 环境科学学报, 2005, 25(5):693-699.
(ZHAI Shi-kui, ZHANG Huai-jing, FAN De-jiang, et al. Corresponding Relationship between Suspended Matter Concentration and Turbidity on Changjiang Estuary and Adjacent Sea Area[J]. Acta Scientiae Circumstantiae, 2005, 25(5): 693-699.) (in Chinese)
[18]
SU H, WU Y, XIA W, et al. Stoichiometric Mechanisms of Regime Shifts in Freshwater Ecosystem[J]. Water Research, 2019, 149: 302-310.
Catastrophic regime shifts in shallow lakes are hard to predict due to a lack of clear understanding of the associate mechanisms. Theory of alternative stable states suggests that eutrophication has profound negative effects on the structure, function and stability of freshwater ecosystems. However, it is still unclear how eutrophication destabilizes ecosystems stoichiometrically before a tipping point is reached. The stoichiometric homeostasis (H), which links fine-scale process to broad-scale patterns, is a key parameter in ecological stoichiometry. Based on investigation of 97 shallow lakes on the Yangtze Plain, China, we measured nitrogen (N) and phosphorus (P) concentrations of the aboveground tissues of common submerged macrophyte species and their corresponding sediments. We found submerged macrophytes showed significant stoichiometric homeostasis for P (H) but not for N (H). Furthermore, H was positively correlated with dominance and stability at the species level, and community production and stability at the community level. Identifying where macrophyte community collapse is a fundamental way to quantify their resilience. Threshold detection showed that macrophyte community dominated by high-H species had a higher value of tipping point (0.08 vs. 0.06 mg P L in lake water), indicating their strong resilience to eutrophication. In addition, macrophytes with high H were predominant in relative oligotrophic sediments and have higher ability in stabilizing the water environment compared to those low-H ones. Our results suggested that ecosystem dominated by homeostatic macrophyte communities was more productive, stable and resilient to eutrophication. Eutrophication-induced stoichiometric imbalance may destabilize the ecosystem by altering the community structure from high-to low-H species. Efforts should be focused on maintaining and restoration of high homeostatic communities to make ecosystem more resilient, which can significantly improve our understanding of the critical transition mechanisms.Copyright © 2018 Elsevier Ltd. All rights reserved.
[19]
YANG C, SHI X, NAN J, et al. Morphological Responses of the Submerged Macrophyte Vallisneria Natans along an Underwater Light Gradient: A Mesocosm Experiment Reveals the Importance of the Secchi Depth to Water Depth Ratio[J]. Science of the Total Environment, 2022, 808: 152199.
[20]
DE BOER W F. Seagrass-Sediment Interactions, Positive Feedbacks and Critical Thresholds for Occurrence: A Review[J]. Hydrobiologia, 2007, 591(1): 5-24.
[21]
LIU X, ZHANG Y, SHI K, et al. Determining Critical Light and Hydrologic Conditions for Macrophyte Presence in a Large Shallow Lake: The Ratio of Euphotic Depth to Water Depth[J]. Ecological Indicators, 2016, 71: 317-326.
[22]
WANG H Z, WANG H J, LIANG X M, et al. Empirical Modelling of Submersed Macrophytes in Yangtze Lakes[J]. Ecological Modelling, 2005, 188(2/3/4): 483-491.
[23]
王书航, 李佳璐, 姜霞, 等. 基于光补偿深度的蠡湖沉水植物恢复区划分[J]. 环境科学研究, 2015, 28(9):1389-1396.
(WANG Shu-hang, LI Jia-lu, JIANG Xia, et al. Division of Submerged Aquatic Vegetation Restoration Region in Lihu Lake Based on Light Compensation Depth[J]. Research of Environmental Sciences, 2015, 28(9): 1389-1396.) (in Chinese)

基金

中国长江三峡集团有限公司科研项目(202103548)
上海市“科技创新行动计划”社会发展科技攻关项目(21DZ1202703)

编辑: 陈敏
PDF(7031 KB)

Accesses

Citation

Detail

段落导航
相关文章

/

Baidu
map