长江安徽段水质时空变化特征及影响因素

冯家成, 曹学康, 陶理, 华飞, 吴康

raybet体育在线 院报 ›› 2025, Vol. 42 ›› Issue (7) : 69-76.

PDF(12278 KB)
PDF(12278 KB)
raybet体育在线 院报 ›› 2025, Vol. 42 ›› Issue (7) : 69-76. DOI: 10.11988/ckyyb.20240503
水环境与水生态

长江安徽段水质时空变化特征及影响因素

作者信息 +

Spatiotemporal Variation Characteristics and Influencing Factors of Water Quality in the Anhui Section of Yangtze River

Author information +
文章历史 +

摘要

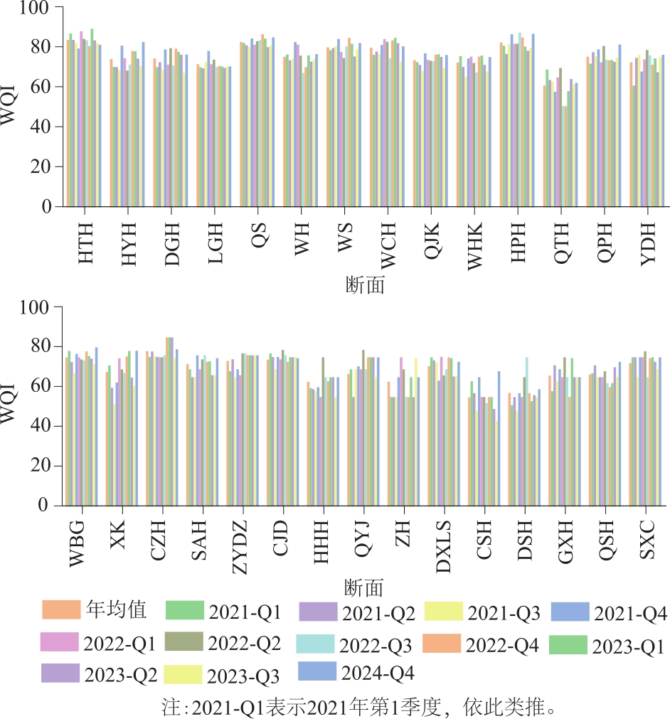
长江安徽段作为长江下游的初始河段,其水质变化状况一直备受关注。基于2021—2023年长江安徽29个国考断面逐日水质监测数据,采用综合水质指数法结合主成分分析、相关性分析等多种方法探究水质时空变化特征及其影响因素。结果表明:①长江安徽段水质指数整体平均值为71.65,水质状况较好。其中,CODMn、NH3-N和TN为影响地区河流水环境质量的主要指标。②从空间上看,上游流域断面(除XK断面外)水质较下游流域更优,造成这一现象可能是由于上下游湖泊水系连通程度、矿产资源利用开发程度以及农业种植规模等有所差异。③从时间上看,受温度以及降水等气象因素影响,水质指数在4个季度上呈现先下降后上升的变化趋势,冬春季节水质优于夏秋季节。

Abstract

[Objective] As the uppermost section of the lower Yangtze River, the water quality changes in the Anhui section have attracted significant attention. Investigating the spatiotemporal variation characteristics of water quality and the underlying influencing factors in this region over recent years can provide clearer guidance for future water environment management in the lower Yangtze River. [Methods] Based on daily water quality data from 29 national assessment sections in the Anhui section of the Yangtze River from 2021 to 2023, this study adopted the comprehensive water quality index method to evaluate water quality, and integrated principal component analysis, correlation analysis, and other methods to explore the spatiotemporal variation and influencing factors of water quality. [Results] (1) The daily data values of different water quality indicators at various monitoring sections in the Anhui section from 2021 to 2023 exhibited varying degrees of fluctuation. Additionally, the WQI showed a significant positive correlation with pH and dissolved oxygen (DO) (P<0.01), while it exhibited a significant negative correlation with permanganate index (CODMn), ammonia nitrogen (NH3-N), total nitrogen (TN), and total phosphorus (TP) (P<0.01). (2) Overall, the water environment quality in the upstream basin in the Anhui section was superior to that of the downstream basin, with several downstream sections having WQI values above 80. The overall water quality in the Anhui section deteriorated progressively from the upstream to the downstream (flowing from the southwest to the northeast). (3) From 2021 to 2023, the overall water quality showed an upward trend, with annual average WQI values of 70.49, 72.24, and 72.49, respectively. Additionally, the quarterly trend within each year was characterized by an initial decline followed by an increase, with average WQI values for the first, second, third, and fourth quarters being 72.21, 71.74, 69.18, and 73.55, respectively. [Conclusion] (1) The overall average WQI value in the Anhui section of the Yangtze River is 71.65, indicating good water quality. CODMn, NH3-N, and TN are identified as the primary indicators influencing the water environment quality of the region. (2) Spatially, the water quality of the upstream basin sections (except for XK section) is better than that of the downstream basin, which may be attributed to differences in the connectivity of upstream and downstream lake systems, the degree of mineral resource exploitation and development, and the scale of agriculture. (3) Temporally, influenced by meteorological factors such as temperature and precipitation, water quality exhibits a trend of first decreasing and then increasing across the four quarters, with better water quality in winter and spring compared to summer and autumn.

关键词

水质指数 / 综合水质评价法 / 主成分分析 / 时空变化 / 长江安徽段

Key words

water quality index(WQI) / comprehensive water quality assessment method / principal component analysis / spatiotemporal variation / Anhui section of Yangtze River

引用本文

导出引用
冯家成, 曹学康, 陶理, . 长江安徽段水质时空变化特征及影响因素[J]. raybet体育在线 院报. 2025, 42(7): 69-76 https://doi.org/10.11988/ckyyb.20240503
FENG Jia-cheng, CAO Xue-kang, TAO Li, et al. Spatiotemporal Variation Characteristics and Influencing Factors of Water Quality in the Anhui Section of Yangtze River[J]. Journal of Changjiang River Scientific Research Institute. 2025, 42(7): 69-76 https://doi.org/10.11988/ckyyb.20240503
中图分类号: X824 (水质评价)   

参考文献

[1]
MÜLLER B, BERG M, PERNET-COUDRIER B A, et al. The Geochemistry of the Yangtze River: Seasonality of Concentrations and Temporal Trends of Chemical Loads[J]. Global Biogeochemical Cycles, 2012, 26(2):GB2028.
[2]
陈善荣, 何立环, 张凤英, 等. 2016—2019年长江流域水质时空分布特征[J]. 环境科学研究, 2020, 33(5): 1100-1108.
(CHEN Shan-rong, HE Li-huan, ZHANG Feng-ying, et al. Spatiotemporal Characteristics of Surface Water Quality of the Yangtze River Basin during 2016-2019[J]. Research of Environmental Sciences, 2020, 33(5): 1100-1108.(in Chinese))
[3]
李芸邑, 刘利萍, 刘元元. 长江经济带工业污染排放空间分布格局及其影响因素[J]. 环境科学, 2021, 42(8):3820-3828.
(LI Yun-yi, LIU Li-ping, LIU Yuan-yuan. Spatial Distribution Pattern and Influencing Factors of Industrial Pollution Emissions in Yangtze River Economic Belt[J]. Environmental Science, 2021, 42(8):3820-3828.(in Chinese))
[4]
姚仕明, 章运超, 柴朝晖, 等. 长江下游河湖保护与修复状况及对策建议[J]. 长江技术经济, 2022, 6(6): 1-10.
(YAO Shi-ming, ZHANG Yun-chao, CHAI Zhao-hui, et al. Current Status and Measures of Conservation and Restoration of Rivers and Lakes in the Lower Reaches of the Yangtze River[J]. Technology and Economy of Changjiang, 2022, 6(6): 1-10.(in Chinese))
[5]
LIU X, WANG H. Estimation of Minimum Area Requirement of River-connected Lakes for Fish Diversity Conservation in the Yangtze River Floodplain[J]. Diversity and Distributions, 2010, 16(6): 932-940.
[6]
何勇. 长江经济带环境协同治理研究[D]. 武汉: 武汉大学, 2020.
(HE Yong. Study on Environmental Collaborative Governance in the Yangtze River Economic Belt[D]. Wuhan: Wuhan University, 2020.(in Chinese))
[7]
杨杨, 刘秀霜. 长江中下游水环境跨域治理的社会网络分析[J]. 海洋湖沼通报, 2024, 46(3):200-206.
摘要
长江中下游水环境的修复与保护需要中下游、左右岸、干支流的协同治理,但流域的跨行政区域的特性使得跨域治理更具难度。为了揭示长江中下游水环境跨域治理的联系结构和合作现状,运用社会网络分析方法对20年水环境跨域治理相关府际协议的整体结构、网络密度、凝聚子群等特征进行分析。研究结果表明,长江中下游水环境跨域治理虽已形成复杂交错的整体网络,但各参与主体受空间地理因素影响较大,上海、江苏、安徽三省市在长江中下游水环境跨域治理中处于绝对中心地位。需要建立完善信息共享机制、信任机制、利益补偿机制,以突破空间地理因素制约,提高互助水平,增进地方政府间的合作。
(YANG Yang, LIU Xiu-shuang. Social Network Analysis of Cross-domain Management of Water Environment in the Middle and Lower Reaches of Yangtze River[J]. Transactions of Oceanology and Limnology, 2024, 46(3):200-206.(in Chinese))
The restoration and protection of the water environment in the middle and lower reaches of Yangtze River require the coordinated management of the middle and lower reaches, the left and right shores and the main and tributaries, but the cross-administrative characteristics of the drainage basin make cross-domain governance more difficult. In this study, we used Social Network Analysis to reveal the link structure and cooperation status of cross-domain management of water environment in the middle and lower reaches of Yangtze River, the overall structure, network density and cohesion subgroups of 20-year water environment cross-regional governance. Although the cross-domain management of the water environment in the middle and lower reaches of Yangtze River has formed a complex and interlaced overall network, the participating subjects are greatly influenced by spatial geography factors. The three provinces and cities of Shanghai, Jiangsu and Anhui are in an absolute central position in the cross-domain management of the water environment in the middle and lower reaches of Yangtze River. It is necessary to establish and improve the information sharing, trust and benefit compensation mechanisms in order to break through the constraints of spatial geography, improve the level of mutual assistance and enhance cooperation among local governments.
[8]
唐晓菲, 田丙正, 赵彬, 等. 长江干流安徽段入河排污口现状分析与思考[J]. 低碳世界, 2021, 11(8):51-52.
(TANG Xiao-fei, TIAN Bing-zheng, ZHAO Bin, et al. Analysis and Thinking on the Current Situation of Sewage Outlets Entering the River in Anhui Section of the Yangtze River[J]. Low Carbon World, 2021, 11(8):51-52.(in Chinese))
[9]
杨玖, 代佼, 龚兴涛, 等. 基于多种方法的长江上游小流域水质综合评价[J]. 中国环境监测, 2023, 39(增刊1):19-26.
(YANG Jiu, DAI Jiao, GONG Xing-tao, et al. Comprehensive Evaluation of Water Quality in Small Watershed of Upper Yangtze River Based on Multiple Methods[J]. Environmental Monitoring in China, 2023, 39(Supp. 1): 19-26.(in Chinese))
[10]
张静, 文婷, 高娜, 等. 地表水环境质量评价方法研究[J]. 中国资源综合利用, 2022, 40(5): 132-134.
(ZHANG Jing, WEN Ting, GAO Na, et al. Study on the Evaluation Method of Surface Water Environmental Quality[J]. China Resources Comprehensive Utilization, 2022, 40(5): 132-134.(in Chinese))
[11]
王泽, 吴月. 三种水质评价方法在地表水质评价中的对比研究[J]. 治淮, 2022(6):14-16.
(WANG Ze, WU Yue. Comparative Study on Three Water Quality Evaluation Methods in Surface Water Quality Evaluation[J]. Zhihuai, 2022(6):14-16.(in Chinese))
[12]
吴岳玲. 水质综合评价及预测研究进展[J]. 安徽农业科学, 2020, 48(2):23-26.
(WU Yue-ling. Progress in Comprehensive Evaluation and Prediction of Water Quality[J]. Journal of Anhui Agricultural Sciences, 2020, 48(2):23-26.(in Chinese))
[13]
FU D, CHEN S, CHEN Y, et al. Development of Modified Integrated Water Quality Index to Assess the Surface Water Quality: A Case Study of Tuo River, China[J]. Environmental Monitoring and Assessment, 2022, 194(5):333.
Water quality evaluation is an important step in water environment control and management. The water quality index (WQI) is considered to be an effective method for water quality evaluation. However, when constructing the WQI, the contribution of the lower threshold limits of water quality parameters to water quality has received little attention. The principle of the modified integrated water quality index (IWQI) is that the concentration of any water quality parameter below the lower threshold limits as well as above the upper threshold limits will lead to an increase in the overall index value. Based on the concentration of water quality parameters, the modified IWQI classified water quality into five categories, i.e., bad (> 8), poor (5-8), medium (2-5), good (1-2), and excellent (< 1). Tuo River plays a crucial role in potable and irrigation water sources of Sichuan Province, and the assessment result of modified IWQI reveals that 67.8% of samples were classified as "medium," 29% "poor," and 3.2% "bad." The high concentrations of N and P from agricultural activities and industrial wastewater are the main contributors to the deterioration of water quality in the Tuo River. Additionally, the Tuo River presents the characteristics of worse water quality in the midstream. The evaluation results of the modified IWQI are consistent with that of the conventional WQI, which proves the accuracy of the modified IWQI as a surface water quality evaluation method.© 2022. The Author(s), under exclusive licence to Springer Nature Switzerland AG.
[14]
NOORI R, BERNDTSSON R, HOSSEINZADEH M, et al. A Critical Review on the Application of the National Sanitation Foundation Water Quality Index[J]. Environmental Pollution, 2019,244:575-587.
[15]
张亚丽, 周扬, 程真, 等. 不同水质评价方法在丹江口流域水质评价中应用比较[J]. 中国环境监测, 2015, 31(3): 58-61.
(ZHANG Ya-li, ZHOU Yang, CHENG Zhen, et al. Comparison and Analysis of Different Evaluation Methods for Water Quality in the Danjiangkou Valley[J]. Environmental Monitoring in China, 2015, 31(3): 58-61.(in Chinese))
[16]
张立章. 改进灰色聚类模型在朝阳地下水水质综合评价中的应用[J]. 水土保持应用技术, 2022(3):45-46.
(ZHANG Li-zhang. Application of Improved Grey Clustering Model in Comprehensive Evaluation of Groundwater Quality in Chaoyang[J]. Technology of Soil and Water Conservation, 2022(3): 45-46.(in Chinese))
[17]
HURLEY T, SADIQ R, MAZUMDER A. Adaptation and Evaluation of the Canadian Council of Ministers of the Environment Water Quality Index (CCME WQI) for Use as an Effective Tool to Characterize Drinking Source Water Quality[J]. Water Research, 2012, 46(11):3544-3552.
Protecting drinking source water quality is a critical step in ensuring a safe supply of drinking water. Increasingly, drinking source water protection programs rely on the active participation of various stakeholders with differing degrees of water science knowledge. A drinking source water quality index presents a potential communication and analysis tool to facilitate cooperation between diverse interest groups as well as represent composite water quality. We tested the effectiveness of the Canadian Council of Ministers of the Environment Water Quality Index (CCME WQI) in capturing expert assessments of drinking water quality. In cooperation with a panel of drinking water quality experts we identified a core set of parameters to reflect common source water concerns. Drinking source water target values were drafted for use in the index corresponding to two basic treatment levels. Index scores calculated using the core parameter set and associated source water target values were strongly correlated with expert assessments of water quality. We recommend a modified index calculation procedure to accommodate parameters measured at different frequencies within any particular study period. The resulting drinking source water CCME WQI provides a valuable means of monitoring, communicating, and understanding surface source water quality.Copyright © 2012 Elsevier Ltd. All rights reserved.
[18]
刘琦, 田雨露, 刘洋, 等. 两类水质综合评价方法的特点及其在河流水环境管理中的作用[J]. 生态学报, 2019, 39(20): 7538-7546.
(LIU Qi, TIAN Yu-lu, LIU Yang, et al. Characteristics of Two Comprehensive Assessment Methods for Water Quality Based on Different Evaluation Criteria and Their Applications in Aquatic Environment Management[J]. Acta Ecologica Sinica, 2019, 39(20): 7538-7546.(in Chinese))
[19]
关兴中, 刘昭, 姚成慧, 等. 鄱阳湖典型流域水质综合评价及时空变化分析[J]. 人民长江, 2023, 54(增刊1): 29-34.
(GUAN Xing-zhong, LIU Zhao, YAO Cheng-hui, et al. Water Quality Evaluation and Spatial-temporal Variation Analysis in Typical Watershed of Poyang Lake[J]. Yangtze River, 2023, 54(Supp.1): 29-34.(in Chinese))
[20]
韦雨婷, 黄娟, 鲍琨, 等. 改进的综合水质标识指数法在海安市河流水质评价中的应用研究[J]. 环境科学与管理, 2023, 48(7): 177-182.
(WEI Yu-ting, HUANG Juan, BAO Kun, et al. Application of Improved Comprehensive Water Quality Identification Index Method in Water Quality Evaluation of Rivers in Hai’an City[J]. Environmental Science and Management, 2023, 48(7): 177-182.(in Chinese))
[21]
解宜兴, 张志会, 周韶辉, 等. 湖南张家界大鲵国家级自然保护区河道水质量化评价研究[J]. 环境生态学, 2023, 5(6):27-35.
(XIE Yi-xing, ZHANG Zhi-hui, ZHOU Shao-hui, et al. Study on Quantitative Evaluation of Water Quality in the Channel of Zhangjiajie Giant Salamander National Nature Reserve in Hunan Province[J]. Environmental Ecology, 2023, 5(6):27-35.(in Chinese))
[22]
徐若诗, 逄勇, 罗缙, 等. 基于WQI的南水北调东线江苏段水质评价及时空分布特征[J]. 环境科学, 2024, 45(9): 5227-5234.
(XU Ruo-shi, PANG Yong, LUO Jin, et al. Water Quality Evaluation and Spatial-temporal Distribution Characteristics of the East Route of the South-to-north Water Diversion Project in Jiangsu Province Based on WQI[J]. Environmental Science, 2024, 45(9): 5227-5234.(in Chinese))
[23]
CHEN Z, WEN Y, XIAO M, et al. Characteristics of Dissolved Organic Matter Impacted by Different Land Use in Haihe River Watershed, China[J]. International Journal of Environmental Research and Public Health, 2023, 20(3):2432.
[24]
KANNEL P R, LEE S, LEE Y S, et al. Application of Water Quality Indices and Dissolved Oxygen as Indicators for River Water Classification and Urban Impact Assessment[J]. Environmental Monitoring and Assessment, 2007, 132(1): 93-110.
[25]
张飞, 王维维, 辛红云, 等. 新疆艾比湖流域河湖水质变化(2005—2020年)[J]. 湖泊科学, 2022, 34(2):478-495.
(ZHANG Fei, WANG Wei-wei, XIN Hong-yun, et al. Changes of Rivers and Lakes Water Quality in Lake Ebinur Basin, Xinjiang(2005-2020)[J]. Journal of Lake Sciences, 2022, 34(2):478-495.(in Chinese))
[26]
安雪晖, 王道明, 付立群, 等. 长江安徽段生态环境保护状况调研[J]. 中国发展, 2022, 22(6): 51-56.
(AN Xue-hui, WANG Dao-ming, FU Li-qun, et al. Investigation on the Status of Environmental Protection in the Anhui Section of the Yangtze River[J]. China Development, 2022, 22(6): 51-56.(in Chinese))
[27]
朱菊隐, 顾典, 贾卫国. 基于和县得胜河经验的区域水污染治理策略分析[J]. 中国集体经济, 2019(22):14-15.
(ZHU Ju-yin, GU Dian, JIA Wei-guo. Strategies of Regional Water Pollution Control Based on Experiences of Desheng River[J]. China Collective Economy, 2019(22):14-15.(in Chinese))
[28]
ZANG C, HUANG S, WU M, et al. Comparison of Relationships between pH, Dissolved Oxygen and Chlorophyll a for Aquaculture and Non-aquaculture Waters[J]. Water, Air, & Soil Pollution, 2011, 219(1): 157-174.
[29]
王司阳, 周子俊, 汪志聪, 等. 三峡水库营养元素的分布及其与藻类生长的关系[J]. 水生生物学报, 2015, 39(5): 910-919.
(WANG Si-yang, ZHOU Zi-jun, WANG Zhi-cong, et al. The Distribution of Nutrients in the Three Gorges Reservoir and the Effects on the Growth of Algae[J]. Acta Hydrobiologica Sinica, 2015, 39(5): 910-919.(in Chinese))
[30]
朱道林, 代亚婷, 苏欣, 等. 关于长江安徽段国土资源利用与生态环境保护的调研[J]. 中国发展, 2023, 23(5):58-80.
(ZHU Dao-lin, DAI Ya-ting, SU Xin, et al. Research on Land and Resource Utilization and Ecological Environment Protection in Anhui Section of the Yangtze River[J]. China Development, 2023, 23(5):58-80.(in Chinese))
[31]
FERREIRA V, ELOSEGI A, D TIEGS S, et al. Organic Matter Decomposition and Ecosystem Metabolism as Tools to Assess the Functional Integrity of Streams and Rivers:A Systematic Review[J]. Water, 2020, 12(12): 3523.
[32]
MIN Y H, HYUN D Y, EUM C H, et al. A Study on the Relationship between Concentration of Phosphorus, Turbidity, and pH in Water and Soil[J]. Analytical Science and Technology, 2011, 24(4): 304-309.

基金

2024年度高校科学研究项目(2024AH040254)

编辑: 罗娟
PDF(12278 KB)

Accesses

Citation

Detail

段落导航
相关文章

/

Baidu
map