大粒径骨料心墙沥青混凝土剪胀特性及影响分析

何建新, 杨寒冰, 陈朋朋, 丁鑫昱, 王亚楠, 刘亮

raybet体育在线 院报 ›› 2025, Vol. 42 ›› Issue (7) : 164-173.

PDF(8416 KB)
PDF(8416 KB)
raybet体育在线 院报 ›› 2025, Vol. 42 ›› Issue (7) : 164-173. DOI: 10.11988/ckyyb.20240476
水工结构与材料

大粒径骨料心墙沥青混凝土剪胀特性及影响分析

作者信息 +

Dilatancy Characteristics and Influencing Factors of Large-Aggregate Core Wall Asphalt Concrete

Author information +
文章历史 +

摘要

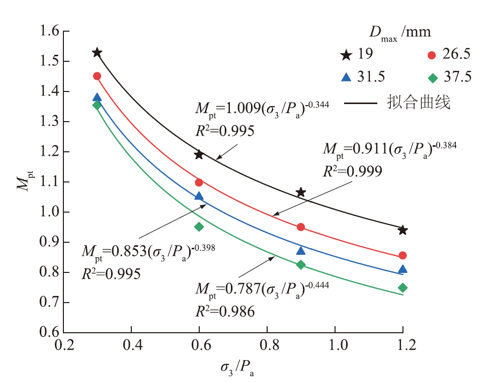
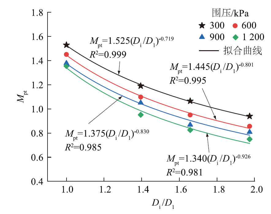
为推广大粒径骨料沥青混凝土在水利工程中的应用,探究了相同配合比,不同影响因素条件下大粒径骨料沥青混凝土的应力应变、剪胀特性,在剪切大变形条件下(轴向应变εa=30%)对最大粒径Dmax分别为26.5、31.5、37.5 mm沥青混凝土进行了静三轴试验研究,为进一步比较Dmax分别为19、37.5 mm沥青混凝土心墙的差异性,基于未考虑心墙和堆石体接触的有限元模型对新疆某典型工程沥青混凝土心墙进行了对比分析,结果表明:随着骨料粒径增大,沥青混凝土的应力-应变曲线由软化型转为硬化型;相同围压条件下,大粒径骨料(Dmax>19 mm)沥青混凝土的切线模量Et低于Dmax=19 mm沥青混凝土,围压增加时,Dmax=37.5 mm沥青混凝土的最大偏应力、最大体应变相较于Dmax=19 mm沥青混凝土都有所下降,适当增大最大骨料粒径可以减弱剪胀性;提出了初始物理参数(围压、不同最大粒径)计算相变应力比Mpt的表达式,可作为大粒径沥青混凝土剪缩剪胀转化的判断依据,Mpt越大,剪胀性越强;大粒径沥青混凝土心墙沉降率、最大小主应力和最大大主应力均几乎无差异。研究成果有助于推动大粒径沥青混凝土在高应力、深厚覆盖层条件的高坝工程的应用。

Abstract

[Objective] To promote the application of large-aggregate asphalt concrete in water conservancy projects, this study investigates the stress-strain and dilatancy characteristics of large-aggregate asphalt concrete under the same mix ratio but under varying influencing factors. [Methods] Under large shear deformation conditions (εa=30% ), static triaxial tests were carried out on asphalt concrete with Dmax=26.5, 31.5, and 37.5 mm. The dilatancy characteristics were elucidated from the perspectives of confining pressure and different maximum aggregate sizes. The relationship between the phase transformation stress ratio (Mpt) of asphalt concrete and confining pressure as well as different maximum aggregate sizes was comparatively analyzed, and an expression for determining whether dilatancy occurred in the specimen based on initial parameters was established. To further demonstrate the applicability of large-aggregate asphalt concrete, the Dmax=19 mm asphalt concrete in the core wall was replaced with Dmax=37.5 mm asphalt concrete. Based on a finite element model that ignored the contact and dilatancy between the core wall and the rockfill body, stress-deformation calculations were performed on the asphalt concrete core wall of a typical project in Xinjiang to simulate the behavior of the core wall with large-aggregate asphalt concrete and analyze the influence of maximum aggregate size on the calculation parameters. [Results] (1) With increasing aggregate size, the stress-strain curve of asphalt concrete changed from the softening type to the hardening type. (2) Under the same confining pressure conditions, the tangent modulus Et of large-aggregate asphalt concrete was lower than that of Dmax=19 mm asphalt concrete. As the confining pressure increased, both the maximum deviatoric stress and the maximum volumetric strain of Dmax=37.5 mm asphalt concrete decreased compared to Dmax=19 mm asphalt concrete, indicating that appropriately increasing the maximum aggregate size could weaken the shear dilatancy. (3) An empirical expression for calculating the phase transformation stress ratio Mpt based on initial physical parameters (confining pressure, different maximum aggregate sizes) was proposed, which could serve as a criterion for the transformation between shear contraction and dilatancy in asphalt concrete. A larger Mpt value indicated stronger shear dilatancy. (4) Furthermore, the finite element analysis results showed that there were almost no differences in settlement rate, maximum minor principal stress, and maximum major principal stress of the core walls. The dilatancy characteristics of large-aggregate asphalt concrete met the requirements of high-stress and deep overburden conditions for high dam projects. [Conclusion] Under the conditions of this study, increasing the maximum aggregate size in the asphalt concrete core wall has almost no effect on its stress condition. The experimental results provide a theoretical basis for the promotion and application of large-aggregate asphalt concrete in high dam projects under high-stress and deep overburden conditions.

关键词

大粒径沥青混凝土 / 静三轴试验 / 相变应力比 / 剪胀特性 / 有限元分析

Key words

large-aggregate asphalt concrete / static triaxial test / phase transformation stress ratio / dilatancy characteristics / finite element analysis

引用本文

导出引用
何建新, 杨寒冰, 陈朋朋, . 大粒径骨料心墙沥青混凝土剪胀特性及影响分析[J]. raybet体育在线 院报. 2025, 42(7): 164-173 https://doi.org/10.11988/ckyyb.20240476
HE Jian-xin, YANG Han-bing, CHEN Peng-peng, et al. Dilatancy Characteristics and Influencing Factors of Large-Aggregate Core Wall Asphalt Concrete[J]. Journal of Changjiang River Scientific Research Institute. 2025, 42(7): 164-173 https://doi.org/10.11988/ckyyb.20240476
中图分类号: TV431.5   

参考文献

[1]
FANG M, PARK D, SINGURANAYO J L, et al. Aggregate Gradation Theory, Design and Its Impact on Asphalt Pavement Performance:A Review[J]. International Journal of Pavement Engineering, 2019, 20(12):1408-1424.
[2]
HASSAN H M Z, WU K, HUANG W, et al. Study on the Influence of Aggregate Strength and Shape on the Performance of Asphalt Mixture[J]. Construction and Building Materials, 2021, 294: 123599.
[3]
WANG D, CHEN G, CHEN Z, et al. Study on Preparation Method of Strength and Morphology Controlled Aggregates Used in Asphalt Mixture[J]. Construction and Building Materials, 2022, 345: 128189.
[4]
YU H, ZHANG C, QIAN G, et al. Characterization and Evaluation of Coarse Aggregate Wearing Morphology on Mechanical Properties of Asphalt Mixture[J]. Construction and Building Materials, 2023, 388: 131299.
[5]
SL 501—2010, 土石坝沥青混凝土面板和心墙设计规范[S]. 北京: 中国水利水电出版社, 2010: 43-54.
(SL 501—2010, Design Code of Asphalt Concrete Facings and Cores for Embankment Dams[S]. Beijing: China Water & Power Press, 2010: 43-54.(in Chinese))
[6]
MASCARENHAS Z M G, GASPAR M S, VASCONCELOS K L, et al. Case Study of a Composite Layer with Large-stone Asphalt Mixture for Heavy-traffic Highways[J]. Journal of Transportation Engineering, Part B: Pavements, 2020, 146(1):04019040.
[7]
付其林, 魏建国, 王力扬. 基于MMLS3设备的OLSM抗反射裂缝性能研究[J]. 中国公路学报, 2020, 33(8): 133-143.
摘要
为评价开级配大粒径沥青碎石(OLSM)抗反射裂缝性能及其影响因素,采用MMLS3设备对1/2路面结构进行弯拉-剪切作用下反射裂缝模拟试验,测定不同集料粒径、分形维数、胶浆膜厚度和粉胶比等影响因素下OLSM面层的瞬时应变幅值,分析不同影响因素下OLSM面层裂缝扩展规律。结果表明:OLSM面层随加载的累积应变、瞬时应变幅值和裂缝扩展速率均显著低于AC面层,终裂时其加载次数比AC面层提高了64.9%;随着公称最大集料粒径的增大,OLSM面层随加载的瞬时应变幅值和裂缝扩展速率显著降低,终裂时OLSM-30和OLSM-40面层加载次数比OLSM-25面层分别提高了20.2%和41.5%;随着分形维数的减小,OLSM面层随加载的瞬时应变幅值和裂缝扩展速率先提高后降低,终裂时加载次数先提高后降低;随着胶浆膜厚度和粉胶比的增大,OLSM面层随加载的瞬时应变幅值、裂缝扩展速率先提高后降低,终裂时加载次数先提高后降低。OLSM对裂缝扩展起到较好的抑制作用,具有良好的抗反射裂缝性能;大粒径集料对裂缝扩展起到较好的抑制作用,选用较大集料粒径的OLSM可有效提高其抗反射裂缝性能;随着分形维数、胶浆膜厚度和粉胶比的增大,OLSM抗反射裂缝性能先提高后降低;采用分形维数2.39~2.43、胶浆膜厚度50~56 μm和粉胶比1.2~1.4设计OLSM,可有效提高其抗反射裂缝性能。
(FU Qi-lin, WEI Jian-guo, WANG Li-yang. Research on Anti-reflective Cracking Performance of Open-graded Large Stone Asphalt Mixes Based on MMLS3[J]. China Journal of Highway and Transport, 2020, 33(8): 133-143.(in Chinese))
To evaluate the anti-reflective cracking performance and influencing factors of open-graded large stone asphalt mixes (OLSM), the MMLS3 equipment was used to simulate reflection cracks under the action of bending and shearing on half of the pavement structure. The instantaneous strain amplitudes of the OLSM surface layer under different influencing factors, such as aggregate size, fractal dimension, mortar film thickness, and powder-to-binder ratio, were measured and the crack propagation law of it under different influencing factors was analyzed. It was found that during the loading process, the cumulative strain, instantaneous strain amplitude, and crack propagation rate of the OLSM surface layer are significantly lower than those of the AC surface layer, and the number of loading times is 64.9% higher than that of the AC surface layer during the final cracking. With the increase in nominal maximum aggregate size, the instantaneous strain amplitude and crack growth rate of the OLSM surface layer during the loading process reduce significantly. The loading times of the OLSM-30 and OLSM-40 surface layer increase by 20.2% and 41.5%, respectively, compared to the OLSM-25 surface layer during the final cracking. With the decrease in fractal dimension, the instantaneous strain amplitude and crack growth rate of the OLSM surface layer increase first and then decrease during the loading process, and the loading times during the final crack increases first and then decreases. With the increase in mortar thickness and powder-to-binder ratio, the instantaneous strain amplitude and crack growth rate of the OLSM surface layer increase first and then decrease, and their loading times during final cracking increase first and then decrease. The results show that OLSM has a good inhibitory effect on crack growth and anti-reflection crack performance. The large particle size aggregates have a good inhibitory effect on crack growth, and using a large aggregate size in OLSM can effectively improve its anti-reflection crack performance. With the increase in fractal dimension, mortar thickness, and powder-to-binder ratio, the anti-reflective cracking performance of OLSM increases first and then decreases. It is recommended to design OLSM with a fractal dimension of 2.39-2.43, mortar film thickness of 50-56 μm, and powder-to-binder ratio of 1.2-1.4 to effectively improve its anti-reflective crack performance.
[8]
TIMM D H, DIEFENDERFER B K, BOWERS B F, et al. Utilization of Cold Central Plant Recycled Asphalt in Long-life Flexible Pavements[J]. Transportation Research Record: Journal of the Transportation Research Board, 2021, 2675(11): 1082-1092.
[9]
王为标, KAARE Höeg. 沥青混凝土心墙土石坝:一种非常有竞争力的坝型[C]//中国长江三峡集团公司,中国水电工程顾问集团公司,中国水利水电建设集团公司,等.现代堆石坝技术进展(2009)——第一届堆石坝国际研讨会论文集. 西安: 西安理工大学, 2009:79-84.
(WANG Wei-biao, KAARE Höeg. Asphalt Concrete Core Rockfill Dam: A Highly Competitive Dam Type[C]// China Three Gorges Corporation, China Hydropower Engineering Consulting Group Corporation, China Water Resources and Hydropower Construction Group Corporation, et al. Advances in Modern Rockfill Dam Technology(2009): Proceedings of the 1st International Rockfill Dam Symposium. Xi’an University of Technology, 2009: 79-84.(in Chinese))
[10]
GAO J, DANG F, MA Z, et al. Improvement Methods for Reduction of the High Stress of Ultra-high Asphalt Concrete Core Dams[J]. Applied Sciences, 2019, 9(21):4618.
[11]
李江, 柳莹, 何建新. 新疆碾压式沥青混凝土心墙坝筑坝技术进展[J]. 水利水电科技进展, 2019, 39(1): 82-89.
(LI Jiang, LIU Ying, HE Jian-xin. Advances in Construction Technologies of Roller Compacted Asphalt Concrete Core Wall Dams in Xinjiang[J]. Advances in Science and Technology of Water Resources, 2019, 39(1): 82-89.(in Chinese))
[12]
陈生水. 复杂条件下特高土石坝建设与长期安全保障关键技术研究进展[J]. 中国科学: 技术科学, 2018, 48(10): 1040-1048.
(CHEN Sheng-shui. Research Progresses in Key Technologies for Construction and Longterm Safety Protection of Extra High Earth-rock Dams under Complicated Conditions[J]. Scientia Sinica (Technologica), 2018, 48(10): 1040-1048.(in Chinese))
[13]
只炳成, 宋志强, 王飞. 深厚覆盖层特性变化对沥青混凝土心墙坝动力反应影响研究[J]. 水资源与水工程学报, 2020, 31(5):189-194.
(ZHI Bing-cheng, SONG Zhi-qiang, WANG Fei. Dynamic Response of Asphalt Concrete Core Wall Dam to the Variations of Deep Overburden Layers[J]. Journal of Water Resources and Water Engineering, 2020, 31(5):189-194.(in Chinese))
[14]
陈祖煜, 程耿东, 杨春和. 关于我国重大基础设施工程安全相关科研工作的思考[J]. 土木工程学报, 2016, 49(3): 1-5.
(CHEN Zu-yu, CHENG Geng-dong, YANG Chun-he. Research Work on Construction Safety of Major Infrastructures in China: Overview and a Forward Look[J]. China Civil Engineering Journal, 2016, 49(3): 1-5.(in Chinese))
[15]
余翔. 深厚覆盖层上土石坝静动力分析方法研究[D]. 大连: 大连理工大学, 2017.
(YU Xiang. Study on Static and Dynamic Analysis Method of Earth-rock Dam on Deep Overburden[D]. Dalian: Dalian University of Technology, 2017.(in Chinese))
[16]
李江, 柳莹, 贾洪全. 新疆深厚覆盖层坝基超深防渗墙建设关键技术[J]. 中国水利水电科学研究院学报, 2022, 20(1): 47-56.
(LI Jiang, LIU Ying, JIA Hong-quan. Key Technologies for Construction of Ultra-deep Cut-off Wall for Dam Foundation with Deep Overburden in Xinjiang[J]. Journal of China Academy of Water Resources and Hydropower Research, 2022, 20(1): 47-56.(in Chinese))
[17]
唐仁杰. 碧流河水库主坝沥青混凝土心墙设计中的主要问题[J]. 水利水电技术, 1983, 14(3): 16-23.
(TANG Ren-jie. Main Problems in Design of Asphalt Concrete Core Wall of Main Dam of Biliuhe Reservoir[J]. Water Resources and Hydropower Engineering, 1983, 14(3): 16-23.(in Chinese))
[18]
丁朴荣. 水工沥青混凝土骨料级配选择[J]. 西安理工大学学报, 1990, 6(4):250-258,309.
(DING Pu-rong. To Choice the Aggregate Grading of Asphalt Concrete in Hydraulic Engineering[J]. Journal of Xi’an University of Technology, 1990, 6(4):250-258,309.(in Chinese))
[19]
ZOU X, XIE Y, BI Y, et al. Study on the Shear Strength of Asphalt Mixture by Discrete Element Modeling with Coarse Aggregate Morphology[J]. Construction and Building Materials, 2023, 409: 134058.
[20]
杨志豪. 大粒径水工沥青混凝土离析特性与静力本构关系研究[D]. 乌鲁木齐: 新疆农业大学, 2022.
(YANG Zhi-hao. Study on the Segregation Characteristics and Static Constitutive Relationship of Hydraulic Asphalt Concrete with Large Particle Size[D]. Urumqi: Xinjiang Agricultural University, 2022.(in Chinese))
[21]
殷宗泽. 土工原理[M]. 北京: 中国水利水电出版社, 2007.
(YIN Zong-ze. Geotechnical Principle[M]. Beijing: China Water & Power Press, 2007.(in Chinese))
[22]
REYNOLDS O. On the Dilatancy of Media Composed of Rigid Particles in Contact. with Experimental Illustrations[J]. The London,Edinburgh,and Dublin Philosophical Magazine and Journal of Science, 1885, 20(127):469-481.
[23]
ROWE P W. The Stress-dilatancy Relation for Static Equilibrium of an Assembly of Particles in Contact[J]. Proceedings of the Royal Society of London Series A Mathematical and Physical Sciences, 1962, 269(1339): 500-527.
[24]
YOU Z, DAI Q. Review of Advances in Micromechanical Modeling of Aggregate-Aggregate Interactions in Asphalt Mixtures[J]. Canadian Journal of Civil Engineering, 2007, 34(2): 239-252.
[25]
王柳江, 薛晨阳, 扎西顿珠, 等. 低温条件下心墙沥青混凝土蠕变特性试验[J]. 河海大学学报(自然科学版), 2021, 49(5): 419-424, 481.
(WANG Liu-jiang, XUE Chen-yang, TASHI Dunzhu, et al. Experimental Study on Characteristics of Creep Deformation of Asphalt Concrete Used in Core Dam under Low Temperature[J]. Journal of Hohai University (Natural Sciences), 2021, 49(5): 419-424, 481.(in Chinese))
[26]
杨武, 宋剑鹏, 何建新, 等. 心墙沥青混凝土静三轴试验的剪胀性研究[J]. 粉煤灰综合利用, 2017, 31(4):6-8.
(YANG Wu, SONG Jian-peng, HE Jian-xin, et al. Study on the Dilatancy of the Core Wall Asphalt Concrete under Static Three Axial Test[J]. Fly Ash Comprehensive Utilization, 2017, 31(4):6-8.(in Chinese))
[27]
ZHANG J, ZHOU M, LIU J, et al. Experimental Study of Stress and Deformation of Reclaimed Asphalt Concrete at Different Temperatures[J]. Materials (Basel), 2023, 16(3):1323.
[28]
次仁云旦, 王柳江, 扎西顿珠, 等. 温度对水工沥青混凝土强度及剪胀特性影响试验研究[J]. raybet体育在线 院报, 2024, 41(1):190-195.
(CIREN Yundan, WANG Liu-jiang, ZHAXI Dunzhu, et al. Experimental Study on the Influence of Temperature on the Strength and Dilatancy Characteristics of Hydraulic Asphalt Concrete[J]. Journal of Changjiang Academy of Sciences, 2024, 41(1):190-195.(in Chinese))
[29]
COLLOP A C, MCDOWELL G R, LEE Y W. Modelling Dilation in an Idealised Asphalt Mixture Using Discrete Element Modelling[J]. Granular Matter, 2006, 8(3): 175-184.
[30]
ZHANG J, YANG J, ZUO N, et al. Study on the Shear Dilation Behaviour of Asphalt Mixture[J]. Road Materials and Pavement Design, 2015, 16(1): 200-213.
[31]
刘璇, 唐新军, 王建祥. 水工沥青混凝土三轴试验的三维细观模拟[J]. 水利与建筑工程学报, 2017, 15(3):35-39.
(LIU Xuan, TANG Xin-jun, WANG Jian-xiang. Three Dimensional Mesoscopic Simulation of Hydraulic Asphalt Concrete Triaxial Test[J]. Journal of Water Resources and Architectural Engineering, 2017, 15(3):35-39.(in Chinese))
[32]
FAN J, JIANG Y, YI Y, et al. Investigation on Triaxial Numerical Test Method and Dilatancy Behavior of Asphalt Mixture[J]. Construction and Building Materials, 2022, 316: 125815.
[33]
刘嘉英, 周伟, 姬翔, 等. 基于细观拓扑结构演化的颗粒材料剪胀性分析[J]. 力学学报, 2022, 54(3):707-718.
(LIU Jia-ying, ZHOU Wei, JI Xiang, et al. Dilatancy Analysis of Granular Materials Based on Mesoscopic Topological Structure Evolution[J]. Journal of Mechanics, 2022, 54(3): 707-718.(in Chinese))
[34]
MUKHTAR N, MOHD HASAN M R, SHARIFF K A, et al. Relationship between the Physicochemical and Electrostatic Charge Characteristics of Filler Materials on the Morphological and Adhesive Pull-off Tensile Strength of Asphalt Mastics[J]. Construction and Building Materials, 2022, 346: 128343.
[35]
DL/T 5362—2018,水工沥青混凝土试验规程[S]. 北京: 中国电力出版社, 2018:157-159.
(DL/T 5362—2018,Test Code for Hydraulic Asphalt Concrete[S]. Beijing: China Electric Power Press, 2018:157-159.(in Chinese))
[36]
JTG E20—2011, 公路工程沥青及沥青混合料试验规程[S]. 北京: 人民交通出版社, 2011: 189-195.
(JTG E20—2011, Test Procedures for Asphalt and Asphalt Mixtures for Highway Engineering[S]. Beijing: China Communications Press, 2011: 189-195.(in Chinese))
[37]
SL 352—2020,水工混凝土试验规程[S]. 北京: 中国水利水电出版社, 2020:140-141.
(SL 352—2020, Test Procedures for Hydraulic Concrete[S]. Beijing: China Water Conservancy and Hydropower Press, 2020:140-141.(in Chinese))
[38]
T/CHES 29—2019, 粗粒土试验规程[S]. 北京: 中国水利水电出版社, 2019: 69-71.
(T/CHES 29—2019, Coarse Grained Soil Test Procedure[S]. Beijing: China Water Conservancy and Hydropower Press, 2019: 69-71.(in Chinese))

基金

新疆维吾尔自治区自然科学基金项目(2022D01A200)

编辑: 占学军
PDF(8416 KB)

Accesses

Citation

Detail

段落导航
相关文章

/

Baidu
map